Senaste uppdateringen :
27/04/2026
Antimykotikum   Anidulafungin  
injektion
Lösningars stabilitet Stabilitet i blandningar Faktorer som påverkar stabiliteten Kompatibilitet Administreringssätt Hänvisningar pdf
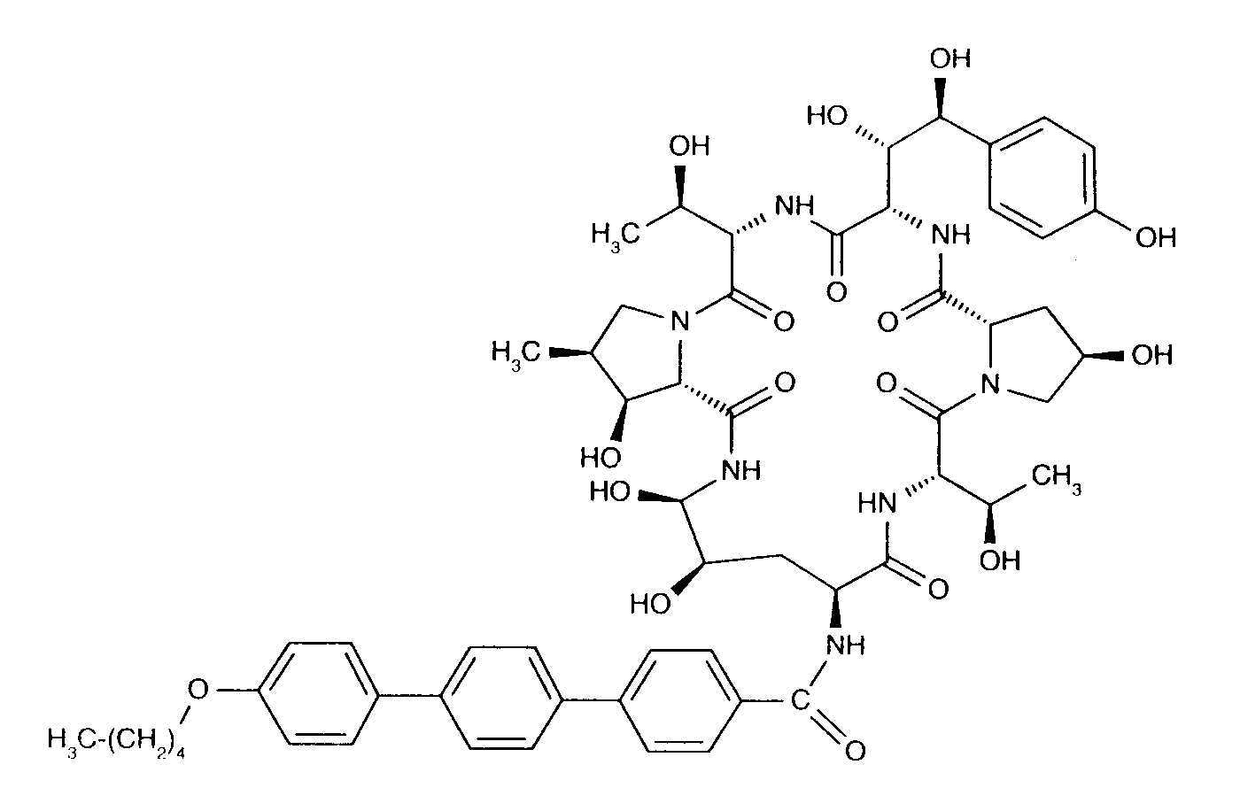
   Molekylstruktur  

Varunamn   Varunamn     

Angivna handelsnamn på läkemedel är enbart vägledande då formulering inklusive hjälpämnen kan variera mellan länder och tillverkare

Anidulafungin Belgien, Storbritannien, Tyskland
Anidulafungina Brasilien, Spanien
Ecalta Argentina, Belgien, Brasilien, Chile, Colombia, Danmark, Finland, Förenta Staterna, Frankrike, Grekland, Italien, Kanada, Luxemburg, Malaysia, Nederländerna, Norge, Peru, Polen, Rumänien, Schweiz, Spanien, Storbritannien, Sverige, Turkiet, Tyskland, Ungern, Venezuela
Equalta Mexiko
Eraxis Australien, Förenta Staterna, Kanada
Fuzig Mexiko
Administreringssätt   Administreringssätt :Anidulafungin     
Ingen uppgift

  Mentions Légales