Seneste opdatering :
27/04/2026
Antisvampe   Anidulafungin  
Injektion
Stabilitet i (vandige) opløsninger Stabilitet i blandinger Faktorer der påvirker stabiliteten Kompatibilitet Administrationsvej Bibliografi pdf
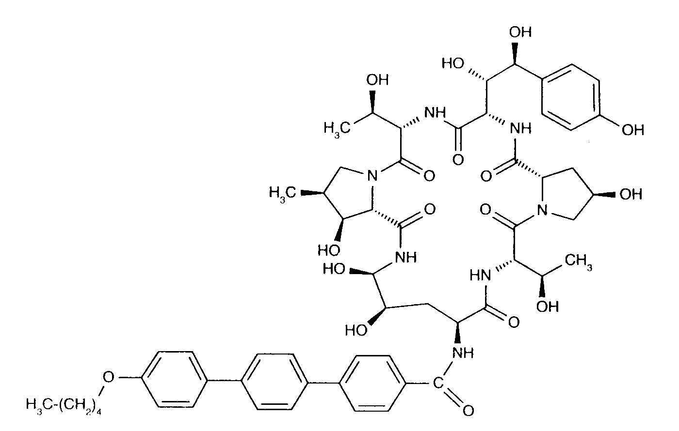
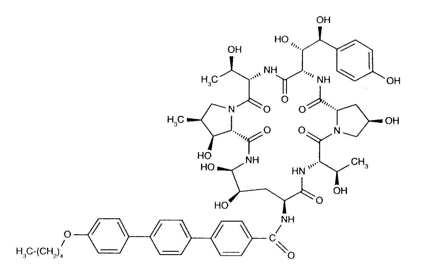
   Kemisk struktur  

Handelsnavn   Handelsnavn     

Handel navne er vejledende og hjælpestoffer sammensætning kan være forskellig afhængigt af landet og laboratorier

Anidulafungin Belgien, Storbritanien, Tyskland
Anidulafungina Brasilien, Spanien
Ecalta Argentina, Belgien, Brasilien, Canada, Chile, Colombia, Danmark, Finland, Frankrig, Grækenland, Holland, Italien, Luxemborg, Malaysia, Marokko, Norge, Polen, Rumænien, Schweiz, Spanien, Storbritanien, Sverige, Tyrkiet, Tyskland, Ungarn, USA, Venezuela
Equalta Mexico
Eraxis Australien, Canada, USA
Fuzig Mexico
Administrationsvej   Administrationsvej :Anidulafungin     
Ingen data

  Mentions Légales