Poslední aktualizace :
27/04/2026
Protiplísňový přípravek   Anidulafungin  
injekce
Stabilita roztoků Stabilita směsí Faktory ovlivňující stabilitu Kompatibilita Způsoby aplikace Odkazy pdf
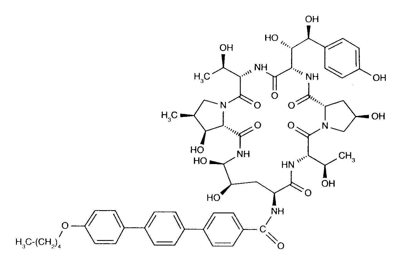
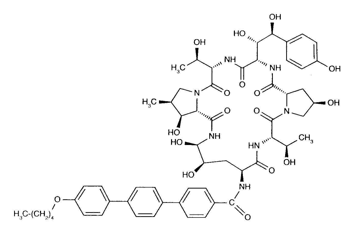
   Chemický vzorec  

Obchodní název   Obchodní název     

Trade names are indicative and excipients composition can be different depending on the country and manufacturers

Anidulafungin Belgie, NÏmecko, Velká Británie
Anidulafungina äpanÏlsko, BrazÌlie
Ecalta äpanÏlsko, Argentina, Belgie, BrazÌlie, Chile, Dánsko, Finsko, Francie, Itálie, Kanada, Kolumbie, Lucembursko, Malajsie, MaÔarsko, NÏmecko, Nizozemsko, Norsko, Peru, Polsko, Rumunsko, Švédsko, Švýcarsko, Turecko, USA, Velká Británie, Venezuela, ÿecko
Equalta Mexiko
Eraxis Austrálie, Kanada, USA
Fuzig Mexiko
Způsoby aplikace   Způsoby aplikace :Anidulafungin     
žádná data

  Mentions Légales