Ultimele actualizari :
27/04/2026
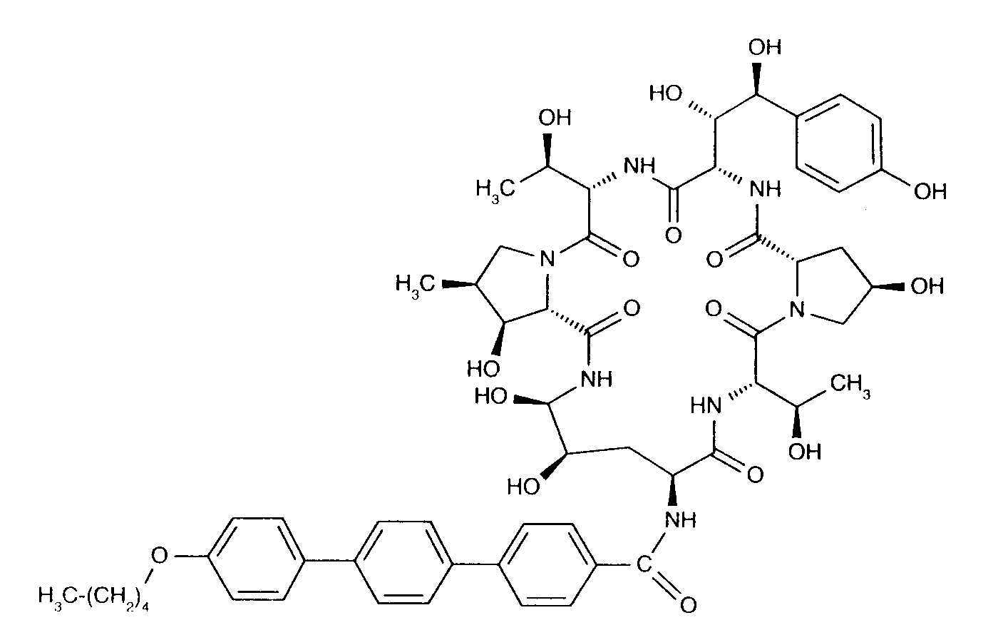
Antifungic   Anidulafungin  
Injectabil
Stabilitatea in solutie Stabilitatea in amestec Factorii care influenteaza stabilitatea Compatibilitate Microunde Bibliografie pdf
   Formula chimica  

Denumirea comerciala   Denumirea comerciala     

Trade names are indicative and excipients composition can be different depending on the country and manufacturers

Anidulafungin Belgia, Germania, Marea Britanie
Anidulafungina Brazilia, Spania
Ecalta Argentina, Belgia, Brazilia, Canada, Chilli, Columbia, Danemarca, Elvetia, Finlanda, Franta, Germania, Grecia, Italia, Luxemburg, Malaezia, Marea Britanie, Norvegia, Olanda, Peru, Polonia, Romania, Spania, SUA, Suedia, Turcia, Ungaria, Venezuela
Equalta Mexic
Eraxis Australia, Canada, SUA
Fuzig Mexic
Microunde   Microunde :Anidulafungin     
Absenta de date

  Mentions Légales