Последно актуализиране :
27/01/2026
Антибиотик   Azithromycine  
Инжекция/Инжекционен
Унгвент/Унгвенти
Стабилност на разтвори Стабилност на смеси Фактори, повлияващи стабилността Съвместимост Път на въвеждане Библиография Pdf
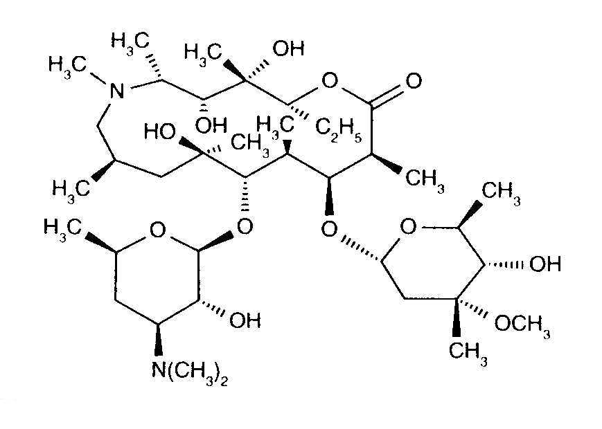
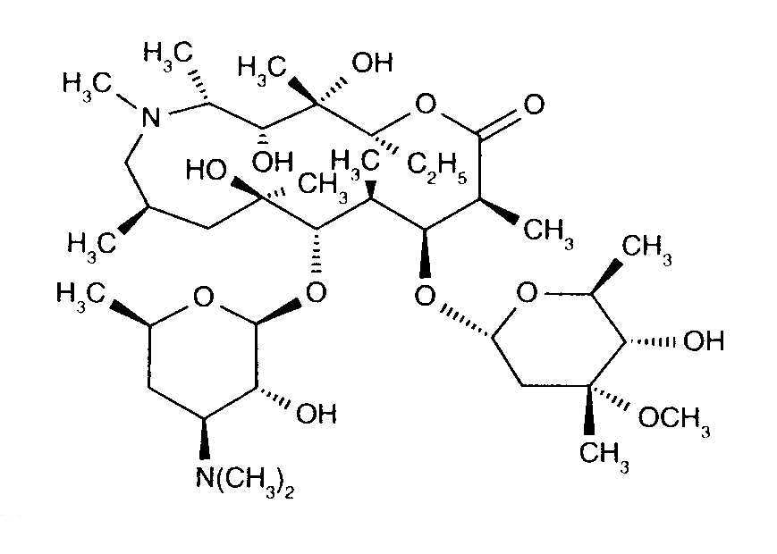
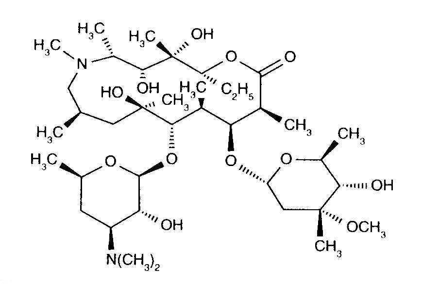
   Химична структура  

Търговско наименование   Търговско наименование     

Търговските имена са примерни и съставът на помощните вещества може да бъде различен в зависимост от държавата и лабораториите

Azithromycin Канада
Azithromycina Еквадор
Azithromycine Dr Erbeth Германия
Azitromax Швеция
Sumamed Полша, Унгария
Zaret Колумбия
Zedbac Великобритания, Ирландия
Zetamac Чехия
Zithromac Япония
Zithromax Австралия, Египет, Канада, Малайзия, Обединени арабски емирства, Португалия, Саудитска Арабия, Съединени Американски щати / САЩ, Финландия, Чили
Стабилност на разтвори   Инжекция/Инжекционен   Стабилност на разтвори : Azithromycine     
Няма данни

  Mentions Légales