Última actualização :
27/04/2026
antibiótico   Azithromycine  
injetável
Pomadas
Estabilidade em soluções simples Estabilidade em misturas Factores que afectam a sua estabilidade Compatibilidade Método de administração Bibliografía pdf
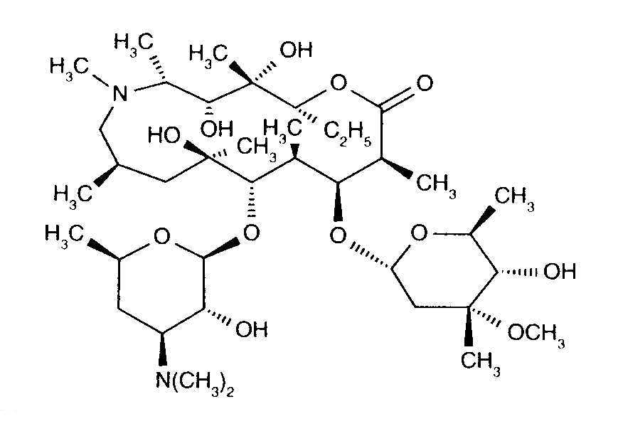
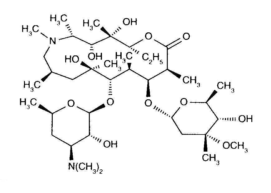
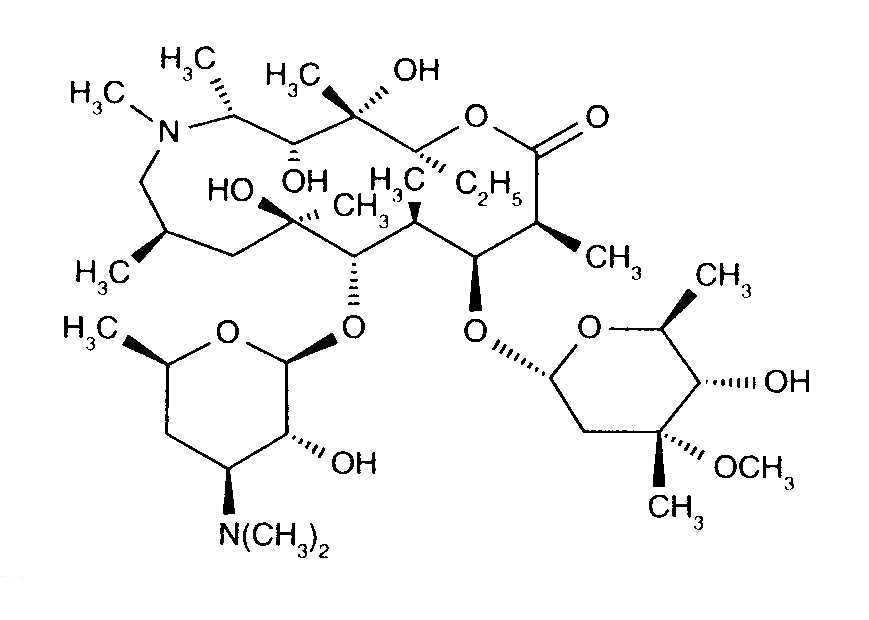
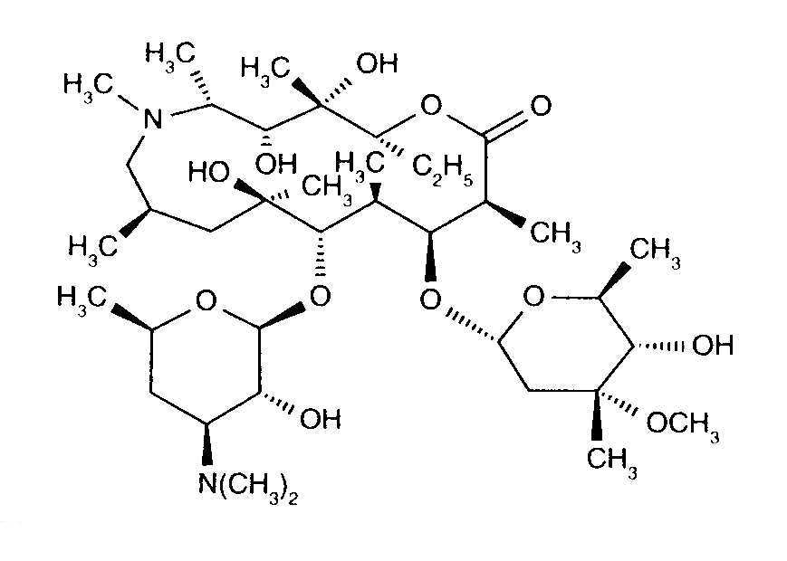
   estrutura química  

Nomes comerciais nos diversos países   Nomes comerciais nos diversos países     

OS NOMES COMERCIAIS SÃO INDICATIVOS E OS EXCIPIENTES DA FORMULAÇÃO PODEM SER DIFERENTES CONFORME O PAÍS E FABRICANTE.

Azithromycin Canadá
Azithromycina Equator
Azithromycine Dr Erbeth Alemanha
Azitromax Suècia
Sumamed Hungria, Polonia
Zaret Colômbia
Zedbac Gran-bretanha, Irlanda
Zetamac República Checa
Zithromac Japón
Zithromax Arábia Saudita, Australia, Canadá, Chilli, Egipto, Emirados Árabes Unidos, Estados Unidos de América, Finlandia, Malásia, Portugal
Estabilidade em soluções simples   injetável   Estabilidade em soluções simples : Azithromycine     
Ausência de dados

  Mentions Légales