Seneste opdatering :
27/04/2026
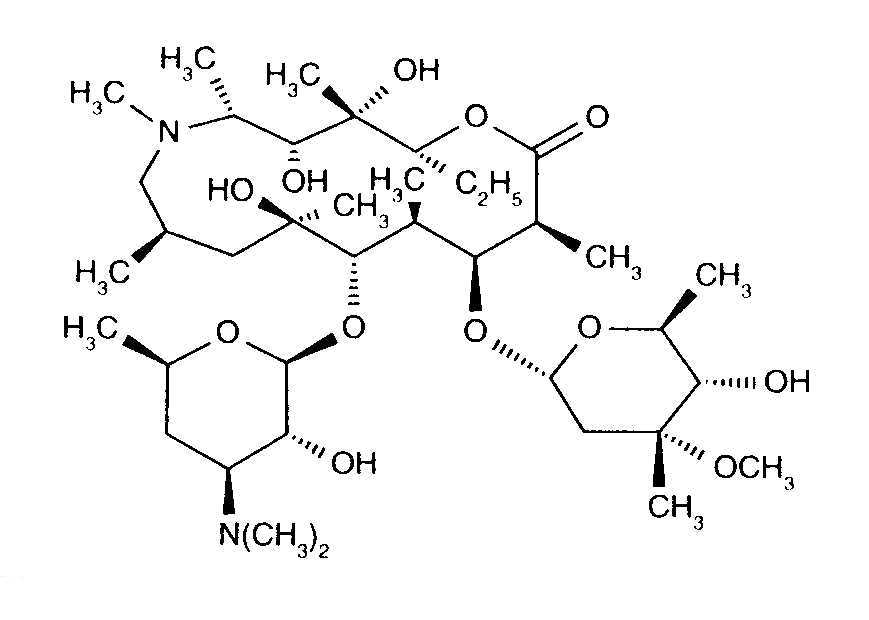
Antibiotisk   Azithromycine  
Injektion
Salver
Stabilitet i (vandige) opløsninger Stabilitet i blandinger Faktorer der påvirker stabiliteten Kompatibilitet Administrationsvej Bibliografi pdf
   Kemisk struktur  

Handelsnavn   Handelsnavn     

Handel navne er vejledende og hjælpestoffer sammensætning kan være forskellig afhængigt af landet og laboratorier

Azithromycin Canada
Azithromycina Ecuador
Azithromycine Dr Erbeth Tyskland
Azitromax Sverige
Sumamed Polen, Ungarn
Zaret Colombia
Zedbac Irland, Storbritanien
Zetamac Tjekkiet
Zithromac Japan
Zithromax Australien, Canada, Chile, Finland, Forenede Arabiske Emirater, Malaysia, Portugal, Saudi-Arabien, USA, Ægypten
Stabilitet i (vandige) opløsninger   Injektion   Stabilitet i (vandige) opløsninger : Azithromycine     
Ingen data

  Mentions Légales