最新更新 :
27/04/2026
抗菌薬   Azithromycine  
注射薬
軟膏薬
溶媒内の安定性 混合時の安定性 安定性に影響する因子 互換性 投与経路 引用文献 PDF
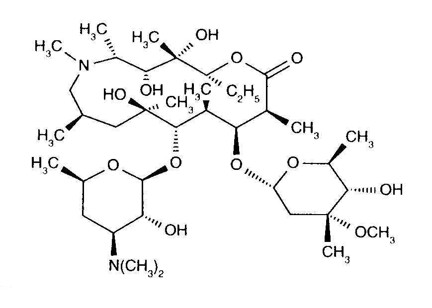
   化学構造  

商品名   商品名     

商品名、賦形剤は国、製薬会社ごとに異なることがあります

Azithromycin カナダ
Azithromycina エクアドル
Azithromycine Dr Erbeth ドイツ
Azitromax スウェーデン
Sumamed ハンガリー, ポーランド
Zaret コロンビア
Zedbac アイルランド, イギリス
Zetamac チェコ
Zithromac 日本
Zithromax アメリカ, アラブ首長国連邦, アーストラリア, エジプト, カナダ, サウジアラビア, チリ, フィンランド, ポルトガル, マレーシア
溶媒内の安定性   注射薬   溶媒内の安定性 : Azithromycine     
データなし

  Mentions Légales