Cập nhật lần cuối :
27/04/2026
Thuốc chống động kinh   Fosphenytoin sodium  
Dạng tiêm
Tính ổn định của các dung dịch Độ ổn định khi trộn lẫn Những yếu tố ảnh hưởng đến độ ổn định Khả năng tương thích Đường dùng Tài liệu tham khảo Pdf
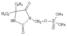
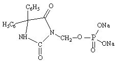
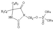
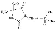
   Cấu trúc hóa học  

Tên thương mại   Tên thương mại     

Các tên thương mại được cung cấp và thành phần tá dược có thể khác nhau giữa các quốc gia và các hãng dược

Cerebryx Canada, Hoa Kỳ
Fosphen Ấn Độ
Fostoin Nhật
Pro - Epanutin Anh, Áo, Hà Lan, Iceland, Ireland, Luxembourg, Na Uy, Phần Lan, Thụy Điển, Đan Mạch
Prodilantin Áo, Ba Lan, Hà Lan, Hoa Kỳ, Hungary, Hy Lạp, Iceland, Ireland, Nhật, Phần Lan, Pháp, Đan Mạch
Sesquient Hoa Kỳ
Đường dùng   Đường dùng :Fosphenytoin sodium     
Đường dùng
Truyền tĩnh mạch
Tiêm bắp

  Mentions Légales