Posledná aktualizácia :
27/04/2026
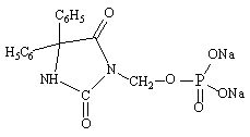
antiepileptikum   Fosphenytoin sodium  
Injekcia
Stabilita roztokov Stabilita v zmesiach Faktory ovplyvňujúce stabilitu Kompatibility spôsob podania Odkazy na literatúru PDF
   Chemický vzorec  

Obchodný názov   Obchodný názov     

Obchodné názvy sú orientačné, a zloženie pomocných látok sa môže líšiť v závislosti od krajiny a výrobcu.

Cerebryx Kanada, Spojené štáty Americké
Fosphen India
Fostoin Japonsko
Pro - Epanutin Dánsko, Fínsko, Holandsko, Írsko, Island, Luxembursko, Nórsko, Rakúsko, Švédsko, Veľká Británia
Prodilantin Dánsko, Fínsko, Francúzsko, Grécko, Holandsko, Írsko, Island, Japonsko, Maďarsko, Poľsko, Rakúsko, Spojené štáty Americké
Sesquient Spojené štáty Americké
spôsob podania   spôsob podania :Fosphenytoin sodium     
Voie
intravenózna infúzia
intramuskulárne

  Mentions Légales