Letztes “update” :
27/04/2026
Antiepileptikum   Fosphenytoin sodium  
Injektion
Stabilität der Lösung Gemengestabilität Stabilitätbeeinflussende Faktoren Kompatibilitäten Applikationsart Literaturverzeichnis pdf
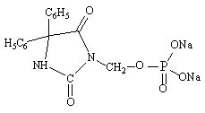
   Chemische Struktur  

Handelsmarke   Handelsmarke     

Handelsnamen sind als beispielhaft anzusehen. Sonstige Bestandteile können je nach Hersteller oder Land verschieden sein

Cerebryx Kanada, Vereinigte Staaten von Amerika
Fosphen Indien
Fostoin Japan
Pro - Epanutin Dänemark, Finnland, Großbritannien, Irland, Island, Luxemburg, Niederlande, Norwegen, Österreich, Schweden
Prodilantin Dänemark, Finnland, Frankreich, Griechenland, Irland, Island, Japan, Niederlande, Österreich, Polen, Ungarn, Vereinigte Staaten von Amerika
Sesquient Vereinigte Staaten von Amerika
Applikationsart   Applikationsart :Fosphenytoin sodium     
Verabreichung
Intravenöse Perfusion
Intramuskulär

  Mentions Légales