viimane versioon :
27/04/2026
antiepileptikum   Fosphenytoin sodium  
Süsteravim
Stabiilsus lahustes Stabiilsust mõjutavad tegurid stabiilsust mõjutavad faktorid Sobimatus Manustamis viis Viited pdf
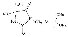
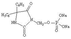
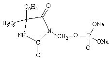
   keemiline struktuur  

Kaubanduslikud nimed erinevates maades   Kaubanduslikud nimed erinevates maades     

Preparaatide nimed on näitlikud ja abianete sisaldus võib erineda sõltuvalt riigist ja laborist

Cerebryx Ameerika ühendriigid, Kanada
Fosphen India
Fostoin Jaapan
Pro - Epanutin Austria, Holland, Iirimaa, Island, Luksemburg, Norra, Rootsi, Soome, Suurbritannia, Taani
Prodilantin Ameerika ühendriigid, Austria, Holland, Iirimaa, Island, Jaapan, Kreeka, Poola, Prantsusmaa, Soome, Taani, Ungari
Sesquient Ameerika ühendriigid
Manustamis viis   Manustamis viis :Fosphenytoin sodium     
Voie
intravenoosne infusioon
intramuskulaarne

  Mentions Légales