Posledná aktualizácia :
27/11/2025
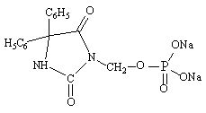
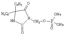
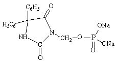
antiepileptikum   Fosphenytoin sodium  
Injekcia
Stabilita roztokov Stabilita v zmesiach Faktory ovplyvňujúce stabilitu Kompatibility spôsob podania Odkazy na literatúru PDF
   Chemický vzorec  

Obchodný názov   Obchodný názov     

Obchodné názvy sú orientačné, a zloženie pomocných látok sa môže líšiť v závislosti od krajiny a výrobcu.

Cerebryx Kanada, Spojené štáty Americké
Fosphen India
Fostoin Japonsko
Pro - Epanutin Dánsko, Fínsko, Holandsko, Írsko, Island, Luxembursko, Nórsko, Rakúsko, Švédsko, Veľká Británia
Prodilantin Dánsko, Fínsko, Francúzsko, Grécko, Holandsko, Írsko, Island, Japonsko, Maďarsko, Poľsko, Rakúsko, Spojené štáty Americké
Sesquient Spojené štáty Americké
Odkazy na literatúru   Injekcia   Odkazy na literatúru : Fosphenytoin sodium  
Typ Publikácia
800 Časopis Fischer JH, Cwik MJ, Luer MS, Sibley CB, Deyo KL.
Stability of fosphenytoin sodium with intravenous solutions in glass bottles, polyvinyl chloride bags, and polypropylene syringes.
Ann Pharmacotherapy 1997 ; 31: 553-559.
1412 Časopis Brett A, Riggs RM, Webster AA, Benner KW.
Y-site stability of fosphenytoin and sodium phenobarbital.
Int J Pharm Compound 1999 ; 3: 64-66.
1419 Časopis Riggs RM, English BA, Webster AA, McGuire JM, Riordan JM.
Fosphenytoin Y-site stability studies with lorazepam and midazolam hydrochloride.
Int J Pharm Compound 1999 ; 3: 235-238.
1803 Časopis Trissel, LA, Saenz CA, Ogundele OB, Ingram D, Baker MB.
Compatibility of fenoldopam mesylate with other drugs during simulated Y-site administration.
Am J Health-Syst Pharm 2003 ; 60: 80-85.
3379 Časopis Fox L.M, Wilder A.G, Foushee J.A.
Physical compatibility of various drugs with neonatal total parenteral nutrient solution during simulated Y-site administration.
Am J Health-Syst Pharm 2013 ;70:520-524.
3827 Poster Ghazi I.M, Hamada Y, Nicolau D.P.
Compatibility of tedizolid phosphate with selected intravenous drugs via simulated Y-site conditions.
ASHP Midyear 2015
3829 Poster So W, Kim L, Thabit A.K, Nicolau D.P, Kuti J.L.
Compatibility of isavunazonium sulfate during simulated Y-site administration.
ASHP Midyear 2015
3967 Časopis Staven V, Herra I, Wang S, Grönlie I,Tho I.
Physical compatibility of total parenteral nutrition and drugs in Y-site administration to children from neonates to adolescents.
J Pharm Pharmacol 2017 ;69,7:448-462
4145 Časopis Asempa T.E, Avery L.M, Kidd J.M, Kuti J.L, Nicolau D.P.
Physical compatibility of plazomicin with select i.v. drugs during simulated Y-site administration.
Am J Health-Syst Pharm 2018 ;75,14:1048-1056
4370 Časopis Staven V, Wang S, Gronlie I, Tho I.
Physical stability of an all-in one parenteral nutrition admixture for preterm infants upon mixing with micronutrients and drugs
EJHP 2018 2018;0:1-7
4428 Časopis Rashed S.M, Sweatman T.W, Thoma L, Hovinga C.A, Phelps S.J.
Chemical Compatibility of Depacon® with Medications Frequently Administered by Intravenous Y-Site Delivery in Patients with Epilepsy or Head Trauma.
J Pediatr Pharmacol Ther 2004 ; 9, 2: 126-132.
4433 Časopis Ghazi I.M, El Nekidy W.S, Sood A, Dulku A, Patel R, Patel K.
Y-site Administration of Imipenem/Cilastatin/ Relebactam With Common Intravenous Medications
Clin Ther 2020 ; 42, 3: 475-485.
4569 Časopis Lee T.M , Villareal C.L, Meyer L.M.
Y-Site Compatibility of Intravenous Levetiracetam With Commonly Used Critical Care Medications.
Hosp Pharm 2021 ; 56, 4: 282-286.
4801 Časopis Ruiz V, Yuwei Shen Y, Abouelhassan Y, Fouad A, Nicolau D, Kuti J.
Physical compatibility of sulbactam/durlobactam with select intravenous drugs during simulated Y-site administration.
Am J Health-Syst Pharm 2024 ;51,1:
5074 Laboratórium FOSPHENYTOINE ARROW 75 mg/mL, solution à diluer pour solution injectable/pour perfusion - Résumé des caractéristiques du produit.
EUGIA PHARMA (MALTA) LTD 2022

  Mentions Légales