Τελευταία ενημέρωση :
27/04/2026
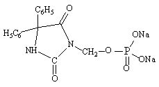
Αντιεπιληπτικό   Fosphenytoin sodium  
Ενέσιμο
Σταθερότητα διαλυμάτων Σταθερότητα σε μίγματα Παράγοντας που επηρεάζει τη σταθερότητα Συμβατότητες Τρόπος χορήγησης Βιβλιογραφία pdf
   χημική δομή  

Εμπορική ονομασία   Εμπορική ονομασία     

Οι εμπορικές ονομασίες είναι ενδεικτικές και η σύνθεση των εκδόχων μπορεί να διαφέρει ανάλογα με τη χώρα και τα εργαστήρια

Cerebryx Η.Π.Α., Καναδάς
Fosphen Ινδία
Fostoin Ιαπωνία
Pro - Epanutin Αυστρία, Δανία, Ιρλανδία, Ισλανδία, Λουξεμβούργο, Μεγάλη Βρετανία, Νορβηγία, Ολλανδία, Σουηδία, Φινλανδία
Prodilantin Αυστρία, Γαλλία, Δανία, Ελλάδα, Η.Π.Α., Ιαπωνία, Ιρλανδία, Ισλανδία, Ολλανδία, Ουγγαρία, Πολωνία, Φινλανδία
Sesquient Η.Π.Α.
Βιβλιογραφία   Ενέσιμο   Βιβλιογραφία : Fosphenytoin sodium  
τύπος δημοσίευση
800 εφημερίδα Fischer JH, Cwik MJ, Luer MS, Sibley CB, Deyo KL.
Stability of fosphenytoin sodium with intravenous solutions in glass bottles, polyvinyl chloride bags, and polypropylene syringes.
Ann Pharmacotherapy 1997 ; 31: 553-559.
1412 εφημερίδα Brett A, Riggs RM, Webster AA, Benner KW.
Y-site stability of fosphenytoin and sodium phenobarbital.
Int J Pharm Compound 1999 ; 3: 64-66.
1419 εφημερίδα Riggs RM, English BA, Webster AA, McGuire JM, Riordan JM.
Fosphenytoin Y-site stability studies with lorazepam and midazolam hydrochloride.
Int J Pharm Compound 1999 ; 3: 235-238.
1803 εφημερίδα Trissel, LA, Saenz CA, Ogundele OB, Ingram D, Baker MB.
Compatibility of fenoldopam mesylate with other drugs during simulated Y-site administration.
Am J Health-Syst Pharm 2003 ; 60: 80-85.
3379 εφημερίδα Fox L.M, Wilder A.G, Foushee J.A.
Physical compatibility of various drugs with neonatal total parenteral nutrient solution during simulated Y-site administration.
Am J Health-Syst Pharm 2013 ;70:520-524.
3827 αφίσα Ghazi I.M, Hamada Y, Nicolau D.P.
Compatibility of tedizolid phosphate with selected intravenous drugs via simulated Y-site conditions.
ASHP Midyear 2015
3829 αφίσα So W, Kim L, Thabit A.K, Nicolau D.P, Kuti J.L.
Compatibility of isavunazonium sulfate during simulated Y-site administration.
ASHP Midyear 2015
3967 εφημερίδα Staven V, Herra I, Wang S, Grönlie I,Tho I.
Physical compatibility of total parenteral nutrition and drugs in Y-site administration to children from neonates to adolescents.
J Pharm Pharmacol 2017 ;69,7:448-462
4145 εφημερίδα Asempa T.E, Avery L.M, Kidd J.M, Kuti J.L, Nicolau D.P.
Physical compatibility of plazomicin with select i.v. drugs during simulated Y-site administration.
Am J Health-Syst Pharm 2018 ;75,14:1048-1056
4370 εφημερίδα Staven V, Wang S, Gronlie I, Tho I.
Physical stability of an all-in one parenteral nutrition admixture for preterm infants upon mixing with micronutrients and drugs
EJHP 2018 2018;0:1-7
4428 εφημερίδα Rashed S.M, Sweatman T.W, Thoma L, Hovinga C.A, Phelps S.J.
Chemical Compatibility of Depacon® with Medications Frequently Administered by Intravenous Y-Site Delivery in Patients with Epilepsy or Head Trauma.
J Pediatr Pharmacol Ther 2004 ; 9, 2: 126-132.
4433 εφημερίδα Ghazi I.M, El Nekidy W.S, Sood A, Dulku A, Patel R, Patel K.
Y-site Administration of Imipenem/Cilastatin/ Relebactam With Common Intravenous Medications
Clin Ther 2020 ; 42, 3: 475-485.
4569 εφημερίδα Lee T.M , Villareal C.L, Meyer L.M.
Y-Site Compatibility of Intravenous Levetiracetam With Commonly Used Critical Care Medications.
Hosp Pharm 2021 ; 56, 4: 282-286.
4801 εφημερίδα Ruiz V, Yuwei Shen Y, Abouelhassan Y, Fouad A, Nicolau D, Kuti J.
Physical compatibility of sulbactam/durlobactam with select intravenous drugs during simulated Y-site administration.
Am J Health-Syst Pharm 2024 ;51,1:
5074 Εργαστήριο FOSPHENYTOINE ARROW 75 mg/mL, solution à diluer pour solution injectable/pour perfusion - Résumé des caractéristiques du produit.
EUGIA PHARMA (MALTA) LTD 2022

  Mentions Légales