最新更新 :
27/11/2025
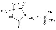
抗癫痫药   Fosphenytoin sodium  
注射液
溶液稳定性 混合物稳定性 影响稳定性的因素 兼容性 用药途径 引用文献 PDF
   化学式  

商品名   商品名     

商品名仅供参考, 药品所用的辅料可能依国家或厂商不同有所不同。

Cerebryx 加拿大, 美国
Fosphen 印度
Fostoin 日本
Pro - Epanutin 丹麦, 冰岛, 卢森堡, 奥地利, 挪威, 爱尔兰, 瑞典, 芬兰, 英国, 荷兰
Prodilantin 丹麦, 冰岛, 匈牙利, 奥地利, 希腊, 日本, 法国, 波兰, 爱尔兰, 美国, 芬兰, 荷兰
Sesquient 美国
引用文献   注射液   引用文献 : Fosphenytoin sodium  
种类 出版物
800 文献 Fischer JH, Cwik MJ, Luer MS, Sibley CB, Deyo KL.
Stability of fosphenytoin sodium with intravenous solutions in glass bottles, polyvinyl chloride bags, and polypropylene syringes.
Ann Pharmacotherapy 1997 ; 31: 553-559.
1412 文献 Brett A, Riggs RM, Webster AA, Benner KW.
Y-site stability of fosphenytoin and sodium phenobarbital.
Int J Pharm Compound 1999 ; 3: 64-66.
1419 文献 Riggs RM, English BA, Webster AA, McGuire JM, Riordan JM.
Fosphenytoin Y-site stability studies with lorazepam and midazolam hydrochloride.
Int J Pharm Compound 1999 ; 3: 235-238.
1803 文献 Trissel, LA, Saenz CA, Ogundele OB, Ingram D, Baker MB.
Compatibility of fenoldopam mesylate with other drugs during simulated Y-site administration.
Am J Health-Syst Pharm 2003 ; 60: 80-85.
3379 文献 Fox L.M, Wilder A.G, Foushee J.A.
Physical compatibility of various drugs with neonatal total parenteral nutrient solution during simulated Y-site administration.
Am J Health-Syst Pharm 2013 ;70:520-524.
3827 海报 Ghazi I.M, Hamada Y, Nicolau D.P.
Compatibility of tedizolid phosphate with selected intravenous drugs via simulated Y-site conditions.
ASHP Midyear 2015
3829 海报 So W, Kim L, Thabit A.K, Nicolau D.P, Kuti J.L.
Compatibility of isavunazonium sulfate during simulated Y-site administration.
ASHP Midyear 2015
3967 文献 Staven V, Herra I, Wang S, Grönlie I,Tho I.
Physical compatibility of total parenteral nutrition and drugs in Y-site administration to children from neonates to adolescents.
J Pharm Pharmacol 2017 ;69,7:448-462
4145 文献 Asempa T.E, Avery L.M, Kidd J.M, Kuti J.L, Nicolau D.P.
Physical compatibility of plazomicin with select i.v. drugs during simulated Y-site administration.
Am J Health-Syst Pharm 2018 ;75,14:1048-1056
4370 文献 Staven V, Wang S, Gronlie I, Tho I.
Physical stability of an all-in one parenteral nutrition admixture for preterm infants upon mixing with micronutrients and drugs
EJHP 2018 2018;0:1-7
4428 文献 Rashed S.M, Sweatman T.W, Thoma L, Hovinga C.A, Phelps S.J.
Chemical Compatibility of Depacon® with Medications Frequently Administered by Intravenous Y-Site Delivery in Patients with Epilepsy or Head Trauma.
J Pediatr Pharmacol Ther 2004 ; 9, 2: 126-132.
4433 文献 Ghazi I.M, El Nekidy W.S, Sood A, Dulku A, Patel R, Patel K.
Y-site Administration of Imipenem/Cilastatin/ Relebactam With Common Intravenous Medications
Clin Ther 2020 ; 42, 3: 475-485.
4569 文献 Lee T.M , Villareal C.L, Meyer L.M.
Y-Site Compatibility of Intravenous Levetiracetam With Commonly Used Critical Care Medications.
Hosp Pharm 2021 ; 56, 4: 282-286.
4801 文献 Ruiz V, Yuwei Shen Y, Abouelhassan Y, Fouad A, Nicolau D, Kuti J.
Physical compatibility of sulbactam/durlobactam with select intravenous drugs during simulated Y-site administration.
Am J Health-Syst Pharm 2024 ;51,1:
5074 实验室 FOSPHENYTOINE ARROW 75 mg/mL, solution à diluer pour solution injectable/pour perfusion - Résumé des caractéristiques du produit.
EUGIA PHARMA (MALTA) LTD 2022

  Mentions Légales