Senaste uppdateringen :
27/04/2026
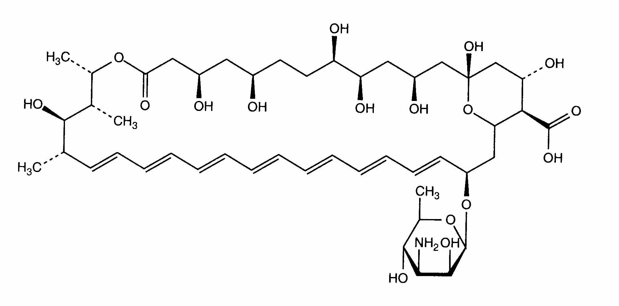
Antimykotikum   Amphotericin B liposomale  
injektion
ögondroppar
Lösningars stabilitet Stabilitet i blandningar Faktorer som påverkar stabiliteten Kompatibilitet Administreringssätt Hänvisningar pdf
Liposom   Molekylstruktur  

Varunamn   Varunamn     

Angivna handelsnamn på läkemedel är enbart vägledande då formulering inklusive hjälpämnen kan variera mellan länder och tillverkare

Ambisome Argentina, Belgien, Brasilien, Chile, Danmark, Egypten, Finland, Förenade Arabemiraten, Förenta Staterna, Frankrike, Grekland, Indien, Irland, Island, Italien, Japan, Kanada, Luxemburg, Nederländerna, Norge, nya Zeeland, Österrike, Peru, Polen, Portugal, Saudi-Arabien, Schweiz, Spanien, Storbritannien, Sverige, Thailand, Turkiet, Tyskland, Ungern
Lösningars stabilitet   injektion   Lösningars stabilitet : Amphotericin B liposomale     
Behållare Lösningsmedel Koncentration Temperatur Förvaring Stabilitets varaktighet Hänvisningar
Glas Vatten för injektion 4 mg/ml 23-27°C Skyddas från ljus
24 Timma
3398
Tillverkarens stabilitetsuppgifter

Glas Vatten för injektion 4 mg/ml 4°C Ej angiven
7 Dag
3398
Tillverkarens stabilitetsuppgifter

Glas Vatten för injektion 4 mg/ml 4°C Ej angiven
7 Dag
4821
Evidensnivå D

Polypropylen Vatten för injektion 4 mg/ml 4°C Ej angiven
7 Dag
3398
Tillverkarens stabilitetsuppgifter

Ej angiven Glukos 5 % 0,2 & 2 mg/ml 4°C Ej angiven
7 Dag
4821
Evidensnivå D

Ej angiven Glukos 5 % 0,2 >> 2 mg/ml 2-8°C Ej angiven
7 Dag
3398
Tillverkarens stabilitetsuppgifter

Ej angiven Glukos 5 % 0,2 >> 2 mg/ml 23-27°C Ej angiven
72 Timma
3398
Tillverkarens stabilitetsuppgifter


  Mentions Légales