最新更新 :
27/04/2026
抗真菌药   Amphotericin B liposomale  
注射液
眼药水
溶液稳定性 混合物稳定性 影响稳定性的因素 兼容性 用药途径 引用文献 PDF
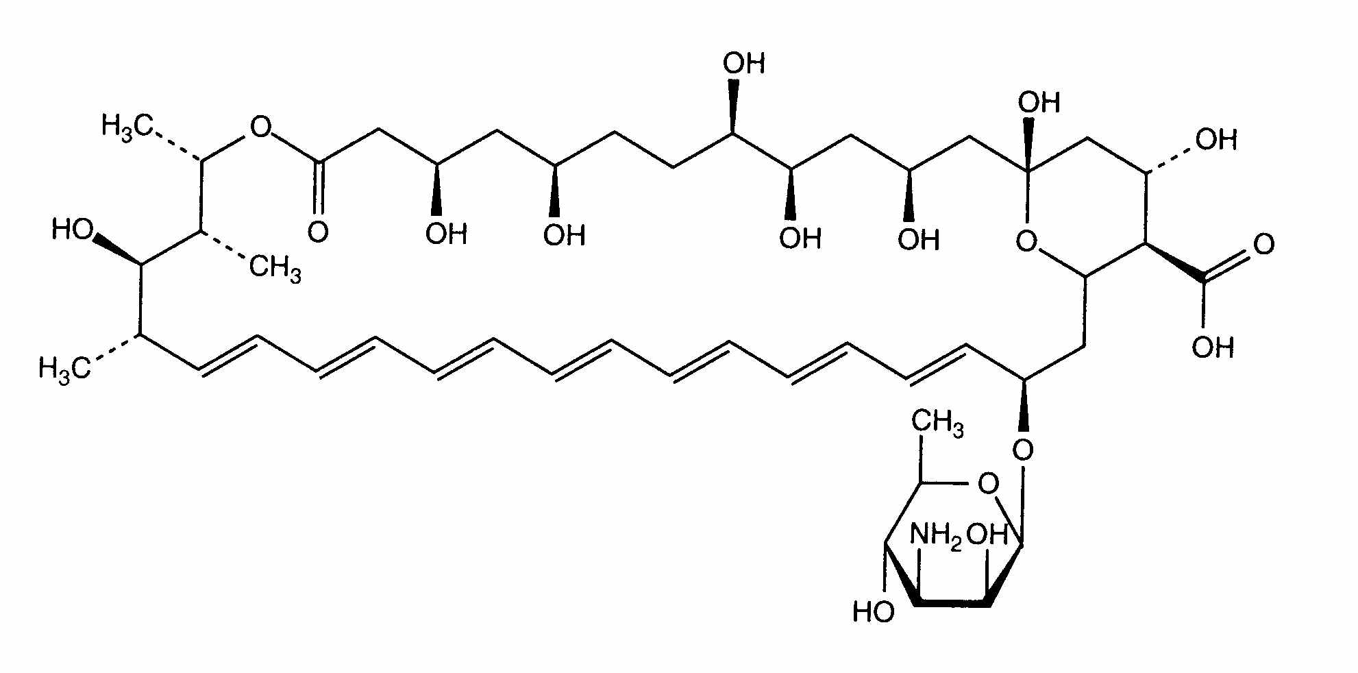
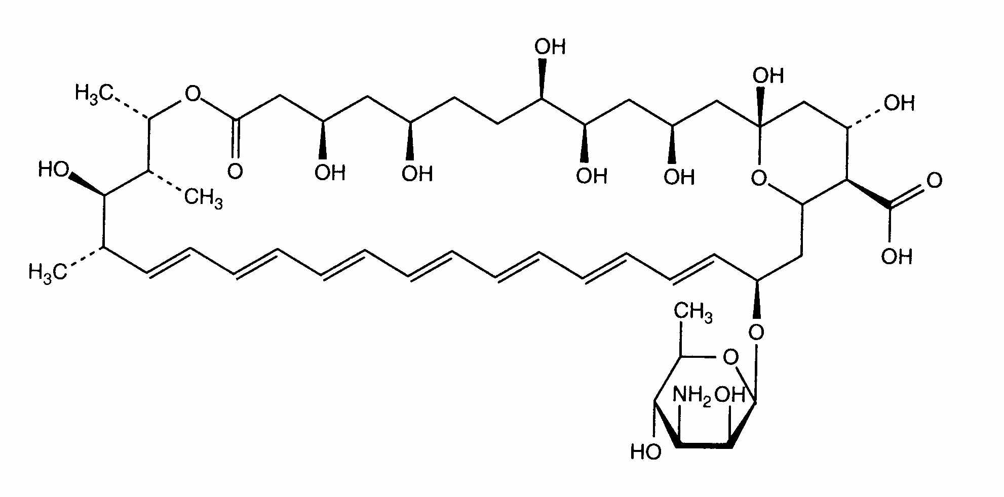
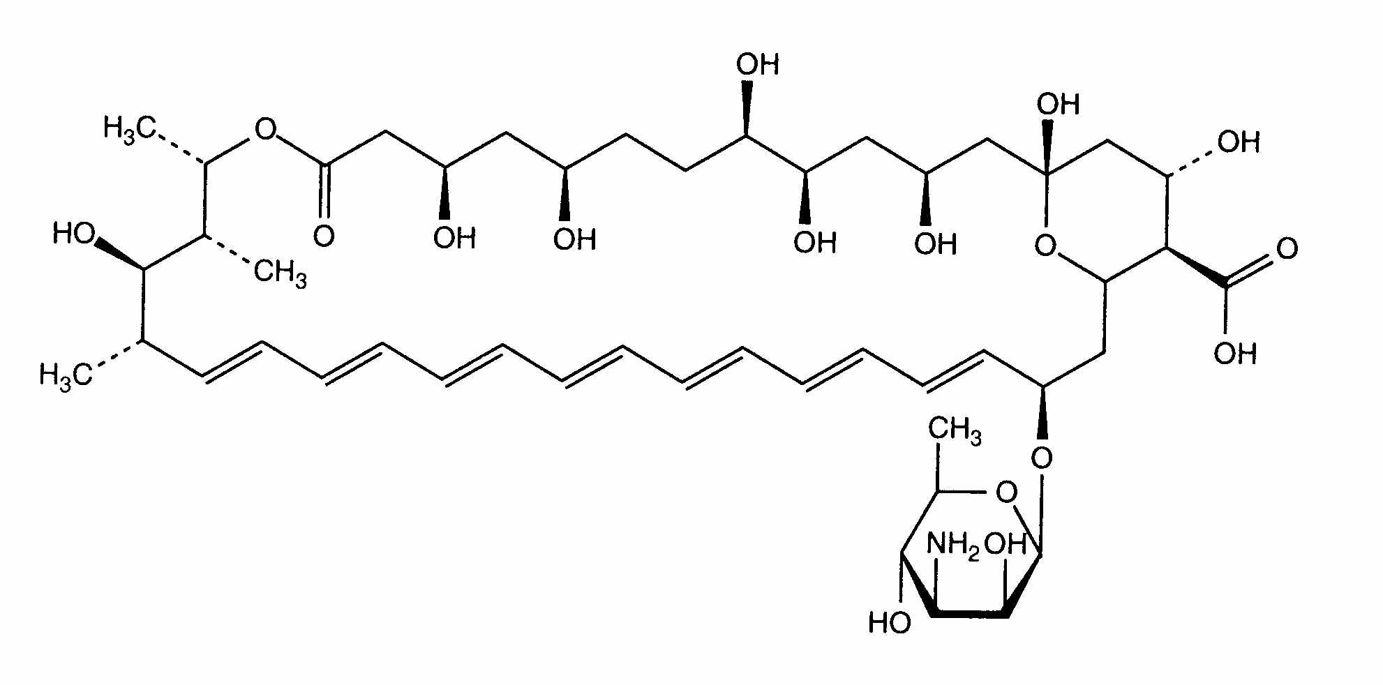
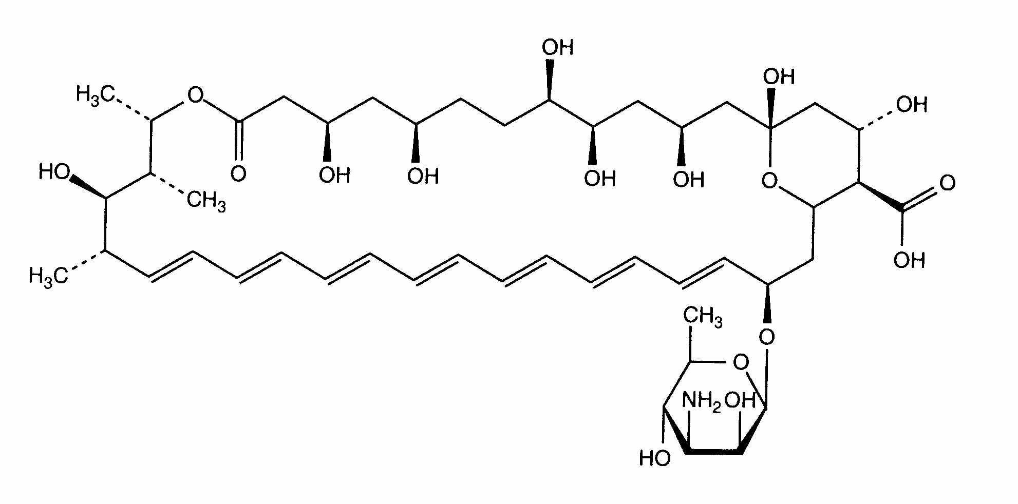
脂質體   化学式  

商品名   商品名     

商品名仅供参考, 药品所用的辅料可能依国家或厂商不同有所不同。

Ambisome 丹麦, 冰岛, 加拿大, 匈牙利, 卢森堡, 印度, 土耳其, 埃及, 奥地利, 巴西, 希腊, 德国, 意大利, 挪威, 新西蘭, 日本, 智利, 比利时, 沙特阿拉伯, 法国, 波兰, 泰国, 爱尔兰, 瑞典, 瑞士, 秘鲁, 美国, 芬兰, 英国, 荷兰, 葡萄牙, 西班牙, 阿根廷, 阿联酋
溶液稳定性   注射液   溶液稳定性 : Amphotericin B liposomale     
容器 溶剂 浓度 温度 保存 穩定持續時間 引用文献
玻璃 注射用水 4 mg/ml 23-27°C 避光
24 小时
3398
生产厂家提供的稳定性数据

玻璃 注射用水 4 mg/ml 4°C 无特殊要求
7 白天
3398
生产厂家提供的稳定性数据

玻璃 注射用水 4 mg/ml 4°C 无特殊要求
7 白天
4821
D级

聚丙烯 注射用水 4 mg/ml 4°C 无特殊要求
7 白天
3398
生产厂家提供的稳定性数据

不详 葡萄糖5% 0,2 & 2 mg/ml 4°C 无特殊要求
7 白天
4821
D级

不详 葡萄糖5% 0,2 >> 2 mg/ml 2-8°C 无特殊要求
7 白天
3398
生产厂家提供的稳定性数据

不详 葡萄糖5% 0,2 >> 2 mg/ml 23-27°C 无特殊要求
72 小时
3398
生产厂家提供的稳定性数据


  Mentions Légales