آخر تحديث :
27/04/2026
مضاد للفطريات   Amphotericin B liposomale  
حقن
قطرات العين
الاستقرار في حلول استقرار مخاليط العوامل التي تؤثر على الاستقرار التوافق طريقة التعاطي مراجع pdf
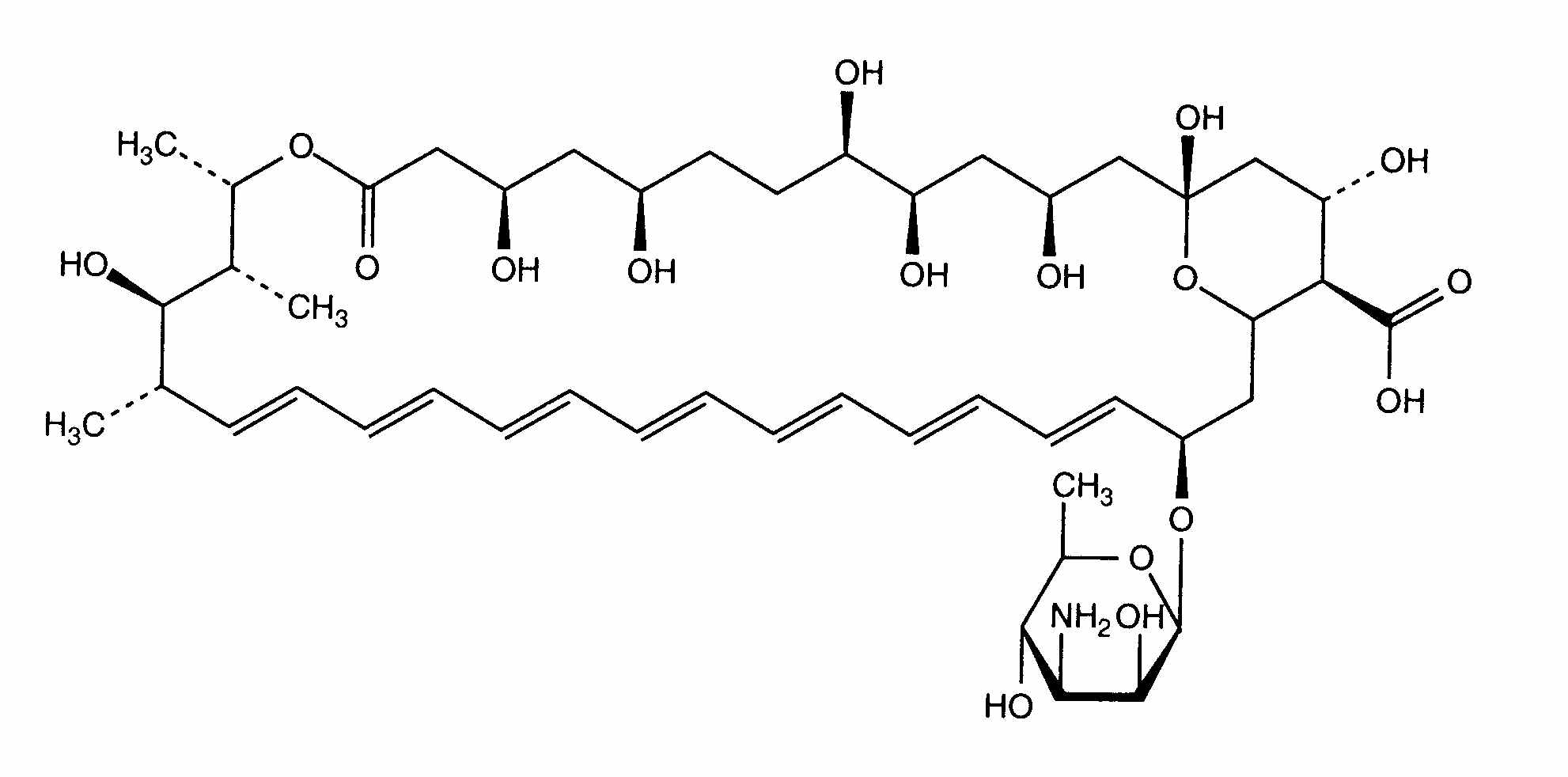
الحويصلية   التركيب الكيميائي  

حجز الاسم التجاري   حجز الاسم التجاري     

تحذير الأسماء التجاريه المختلفه قد تحتوي علي محتوي إضافات مختلفة حسب الدوله و المعمل

Ambisome ألمانيا, أيسلندا, إسبانيا, إيطاليا, الأرجنتين, الإمارات العربية المتحدة, البرازيل, البرتغال, الدنمارك, السويد, العربية السعودية, النرويج, النمسا, الهند, الولايات المتحدة, اليابان, ايرلندا, بريطانيا العظمي, بلجيكا, بولندا, بيرو, تايلاند, تركيا, تشيلي, زيلاندا الجديدة, سويسرا, فرنسا, فنلندا, كندا, لوكسمبورغ, مصر, هنغاريا, هولندا, يونان
الاستقرار في حلول   حقن   الاستقرار في حلول : Amphotericin B liposomale     
حاوية مذيب تركيز درجة الحرارة تخزين مدة الاستقرار مراجع
زجاج حقن المياه لل 4 mg/ml 23-27°C بعيدا عن الضوء
24 ساعة
3398
بيانات الشركة المصنعة \\ \'ق الاستقرار

زجاج حقن المياه لل 4 mg/ml 4°C لم يتم تحديد
7 يوم
3398
بيانات الشركة المصنعة \\ \'ق الاستقرار

زجاج حقن المياه لل 4 mg/ml 4°C لم يتم تحديد
7 يوم
4821
D مستوى الأدلة

البولي بروبلين حقن المياه لل 4 mg/ml 4°C لم يتم تحديد
7 يوم
3398
بيانات الشركة المصنعة \\ \'ق الاستقرار

لم يتم تحديد الجلوكوز %5 0,2 & 2 mg/ml 4°C لم يتم تحديد
7 يوم
4821
D مستوى الأدلة

لم يتم تحديد الجلوكوز %5 0,2 >> 2 mg/ml 2-8°C لم يتم تحديد
7 يوم
3398
بيانات الشركة المصنعة \\ \'ق الاستقرار

لم يتم تحديد الجلوكوز %5 0,2 >> 2 mg/ml 23-27°C لم يتم تحديد
72 ساعة
3398
بيانات الشركة المصنعة \\ \'ق الاستقرار


  Mentions Légales