Poslední aktualizace :
27/04/2026
Priešgrybelinis vaistas   Amphotericin B liposomale  
Įpurškimas
Akių lašai
Tirpalų stabilumas Mišinių stabilumas Stabilumą lemiantys veiksniai Suderinamumas Leidimo būdai Bibliografija pdf
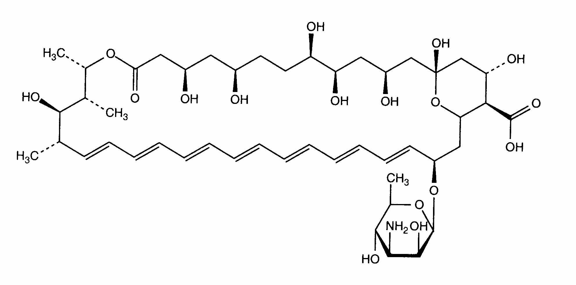
Liposoma   Cheminė sandara  

Prekinis pavadinimas   Prekinis pavadinimas     

Trade names are indicative and excipients composition can be different depending on the country and manufacturers

Ambisome Airija, Argentina, Austrija, Belgija, Brazilija, Čilė, Danija, Didžioji Britanija, Egiptas, Graikija, Indija, Islandija, Ispanija, Italija, Japonija, Jungtinės Amerikos Valstijos, Jungtiniai Arabų Emyratai, Kanada, Lenkija, Liuksemburgas, Naujojoje Zelandijoje, Norvegija, Olandija, Peru, Portugalija, Prancūzija, Saudo Arabija, Suomija, Švedija, Šveicarija, Tailandas, Turkija, Vengrija, Vokietija
Tirpalų stabilumas   Įpurškimas   Tirpalų stabilumas : Amphotericin B liposomale     
Pakuotė Tirpiklis Koncentracija Temperatūra Laikymas Stabilumo trukmė Nuorodos
Stiklas Vanduo injekcijoms 4 mg/ml 23-27°C Apsaugotas nuo šviesos
24 Valanda
3398
Gamintojo stabilumo duomenys

Stiklas Vanduo injekcijoms 4 mg/ml 4°C Nenurodyta
7 Diena
3398
Gamintojo stabilumo duomenys

Stiklas Vanduo injekcijoms 4 mg/ml 4°C Nenurodyta
7 Diena
4821
Bandymo lygis D

Polipropilenas Vanduo injekcijoms 4 mg/ml 4°C Nenurodyta
7 Diena
3398
Gamintojo stabilumo duomenys

Nenurodyta Gliukozė 5% 0,2 & 2 mg/ml 4°C Nenurodyta
7 Diena
4821
Bandymo lygis D

Nenurodyta Gliukozė 5% 0,2 >> 2 mg/ml 2-8°C Nenurodyta
7 Diena
3398
Gamintojo stabilumo duomenys

Nenurodyta Gliukozė 5% 0,2 >> 2 mg/ml 23-27°C Nenurodyta
72 Valanda
3398
Gamintojo stabilumo duomenys


  Mentions Légales