Utolsó frissítés :
27/04/2026
Gombaellenes szer   Amphotericin B liposomale  
Injekció
Szemcsepp
Az oldatok stabilitása A keverékek stabilitása Stabilitást befolyásoló tényezők Kompatibilitás Az alkalmazás módja Irodalom pdf
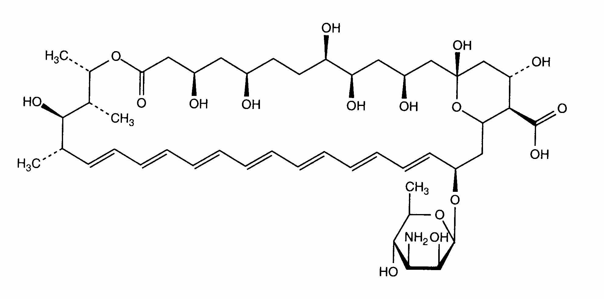
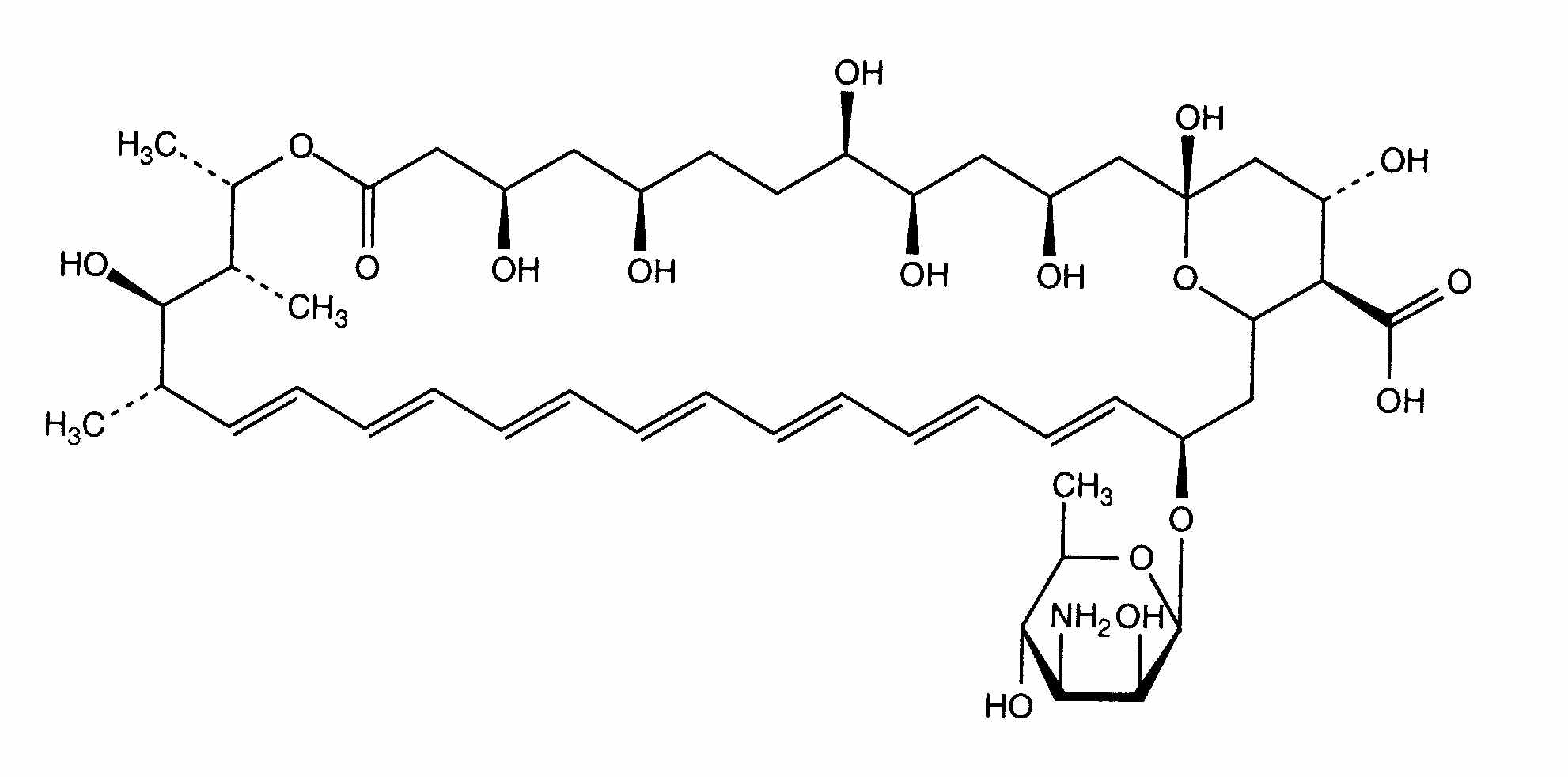
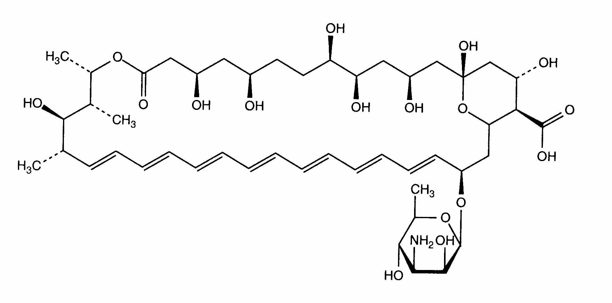
Liposzóma   Kémiai szerkezet   

Kereskedelmi név   Kereskedelmi név     

A kereskedelmi név meghatározó jelentőségű: a készítmények összetétele országonként, előállítóként eltérő lehet

Ambisome Amerikai Egyesült Államok, Argentína, Ausztria, Belgium, Brazília, Chile, Dánia, Egyesült Arab Emírségek, Egyiptom, Finnország, Franciaország, Görögország, Hollandia, India, Írország, Izland, Japán, Kanada, Lengyelország, Luxemburg, Magyarország, Nagy-Britannia, Németország, Norvégia, Olaszország, Peru, Portugália, Spanyolország, Svájc, Svédország, Szaúd-Arábiában, Thaiföld, Törökország, új-Zéland
Az oldatok stabilitása   Injekció   Az oldatok stabilitása : Amphotericin B liposomale     
Csomagolás Oldószer Koncentráció Hőmérséklet Tárolás A stabilitás időtartama Irodalom
Üveg Injekcióhoz való víz 4 mg/ml 23-27°C Fénytől védve tartandó
24 Óra
3398
Gyártó stabilitási adatokra

Üveg Injekcióhoz való víz 4 mg/ml 4°C Nincs meghatározva
7 Nap
3398
Gyártó stabilitási adatokra

Üveg Injekcióhoz való víz 4 mg/ml 4°C Nincs meghatározva
7 Nap
4821
Szintű bizonyítékot D

Polipropilén Injekcióhoz való víz 4 mg/ml 4°C Nincs meghatározva
7 Nap
3398
Gyártó stabilitási adatokra

Nincs meghatározva 5% glükóz 0,2 & 2 mg/ml 4°C Nincs meghatározva
7 Nap
4821
Szintű bizonyítékot D

Nincs meghatározva 5% glükóz 0,2 >> 2 mg/ml 2-8°C Nincs meghatározva
7 Nap
3398
Gyártó stabilitási adatokra

Nincs meghatározva 5% glükóz 0,2 >> 2 mg/ml 23-27°C Nincs meghatározva
72 Óra
3398
Gyártó stabilitási adatokra


  Mentions Légales