Pēdējā atjaunošana :
27/04/2026
Pretsēnīšu līdzeklis   Amphotericin B liposomale  
Injekcija
Acu pilieni
Šķīduma stabilitāte Maisījuma stabilitāte Stabilitāti ietekmējoši faktori Saderība Levadīšanas veids Literatūras saraksts pdf
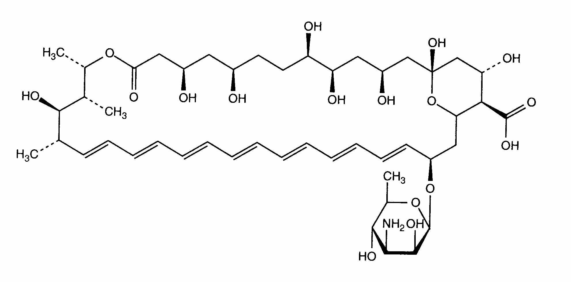
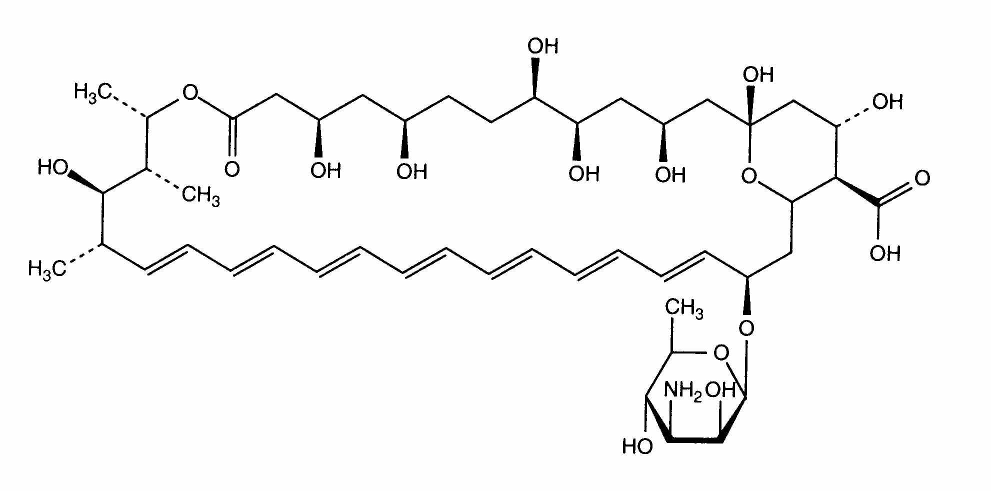
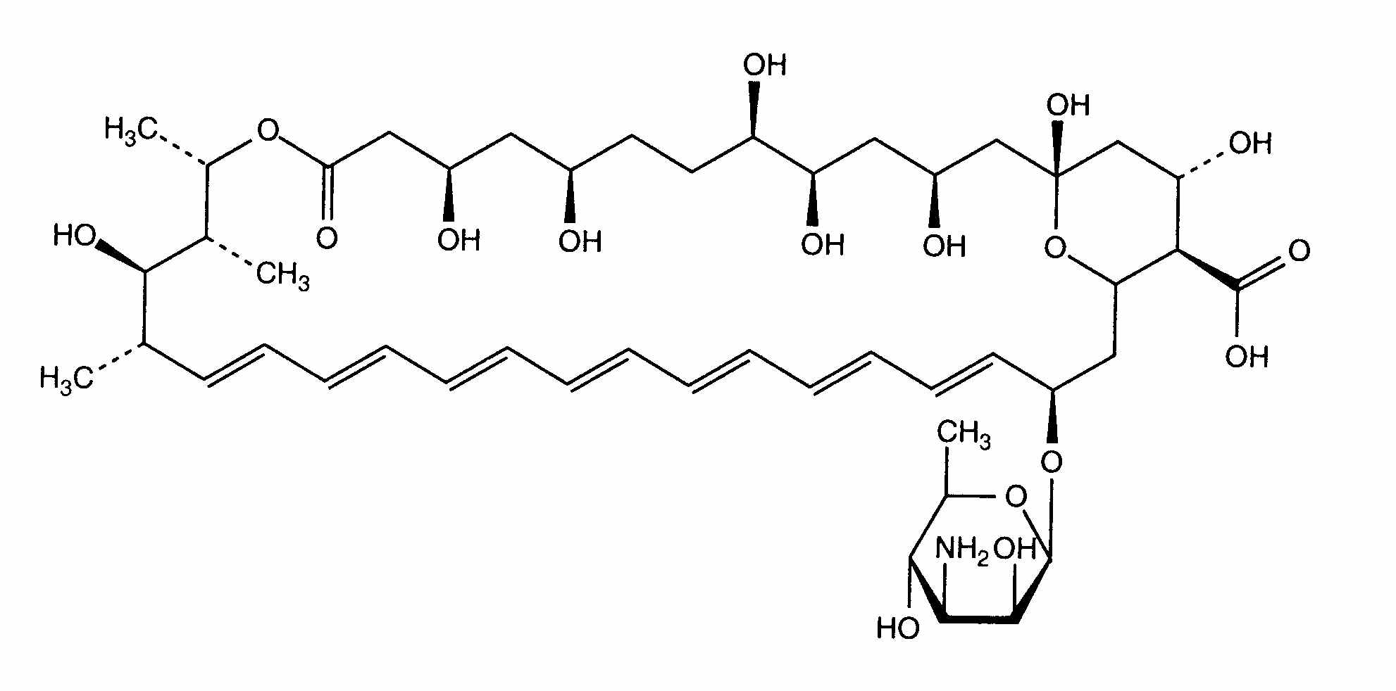
Liposoma   Ķīmiskā uzbūve   

Oriģinālais nosaukums   Oriģinālais nosaukums     

Tirdzniecības nosaukumi ir apzīmējoši un palīgvielas var atšķirties dažādām valstīm un laboratorijām

Ambisome Amerikas Savienotās Valstis, Apvienotie Arābu Emirāti, Argentīna, Austrija, Beļģija, Brazīlija, Čīle, Dānija, Ēģipte, Francija, Grieķija, Holande, Indija, Īrija, Islande, Itālija, Japāna, Jaunzēlande, Kanāda, Lielbritānija, Luksemburga, Norvēģija, Peru, Polija, Portugāle, Saūda Arābija, Somija, Spānija, Šveice, Taizeme, Turcija, Ungārija, Vācija, Zviedrija
Šķīduma stabilitāte   Injekcija   Šķīduma stabilitāte : Amphotericin B liposomale     
Iepakojums Šķīdinātājs Koncentrācija Temperatūra Glabāšana Stabilitātes ilgums Literatūras saraksts
Stikls Ūdens injekcijām 4 mg/ml 23-27°C Aizsargāt no gaismas
24 Stunda
3398
Ražotāja stabilitātes dati

Stikls Ūdens injekcijām 4 mg/ml 4°C Nav specifisks
7 Diena
3398
Ražotāja stabilitātes dati

Stikls Ūdens injekcijām 4 mg/ml 4°C Nav specifisks
7 Diena
4821
Pierādījumu līmenis D

Polipropilēns Ūdens injekcijām 4 mg/ml 4°C Nav specifisks
7 Diena
3398
Ražotāja stabilitātes dati

Nespecifisks 5% glikoze 0,2 & 2 mg/ml 4°C Nav specifisks
7 Diena
4821
Pierādījumu līmenis D

Nespecifisks 5% glikoze 0,2 >> 2 mg/ml 2-8°C Nav specifisks
7 Diena
3398
Ražotāja stabilitātes dati

Nespecifisks 5% glikoze 0,2 >> 2 mg/ml 23-27°C Nav specifisks
72 Stunda
3398
Ražotāja stabilitātes dati


  Mentions Légales