Viimeisin päivitys :
27/04/2026
Sienilääkkeet   Amphotericin B liposomale  
Injektioneste
Silmätipat
Stabilius liuoksessa Stabilius seoksissa Tekijät, jotka vaikuttavat stabiliuteen Yhteensopivuus Antotapa Viitteet pdf
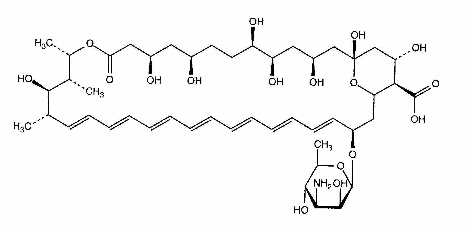
Liposomi   Kemiallinen rakenne  

Kauppanimi   Kauppanimi     

Trade names are indicative and excipients composition can be different depending on the country and manufacturers

Ambisome Argentiina, Belgia, Brasilia, Chile, Egypti, Espanja, Hollanti, Intia, Irlanti, Islanti, Iso-Britannia, Italia, Itävalta, Japani, Kanada, Kreikka, Luxemburg, Marokko, New Zealand, Norja, Portugali, Puola, Ranska, Ruotsi, Saksa, Saudi-Arabia, Suomi, Sveitsi, Tanska, Thaimaa, Turkki, Unkari, Yhdistyneet arabiemiirikunnat, Yhdysvallat
Stabilius liuoksessa   Injektioneste   Stabilius liuoksessa : Amphotericin B liposomale     
Astia Liuotin Konsentraatio Lämpötila Säilytys Vakauden kesto Viitteet
Lasi Injektionesteisiin käytettävä vesi 4 mg/ml 23-27°C Suojattava valolta
24 tunti
3398
Valmistajan antamat stabiiliustiedot

Lasi Injektionesteisiin käytettävä vesi 4 mg/ml 4°C Ei määritetty
7 Päivä
3398
Valmistajan antamat stabiiliustiedot

Lasi Injektionesteisiin käytettävä vesi 4 mg/ml 4°C Ei määritetty
7 Päivä
4821
Näytön laajuus D

Polypropyleeni Injektionesteisiin käytettävä vesi 4 mg/ml 4°C Ei määritetty
7 Päivä
3398
Valmistajan antamat stabiiliustiedot

Ei määritetty Glukoosi 5% 0,2 & 2 mg/ml 4°C Ei määritetty
7 Päivä
4821
Näytön laajuus D

Ei määritetty Glukoosi 5% 0,2 >> 2 mg/ml 2-8°C Ei määritetty
7 Päivä
3398
Valmistajan antamat stabiiliustiedot

Ei määritetty Glukoosi 5% 0,2 >> 2 mg/ml 23-27°C Ei määritetty
72 tunti
3398
Valmistajan antamat stabiiliustiedot


  Mentions Légales