Siste oppdatering :
27/04/2026
Fungicid   Amphotericin B liposomale  
Injeksjon
Øyedråper
Oppløsningsstabilitet Stabilitet i blandinger Faktorer som påvirker stabiliteten Kompatibilitet Administrasjonsmåte Referanser pdf
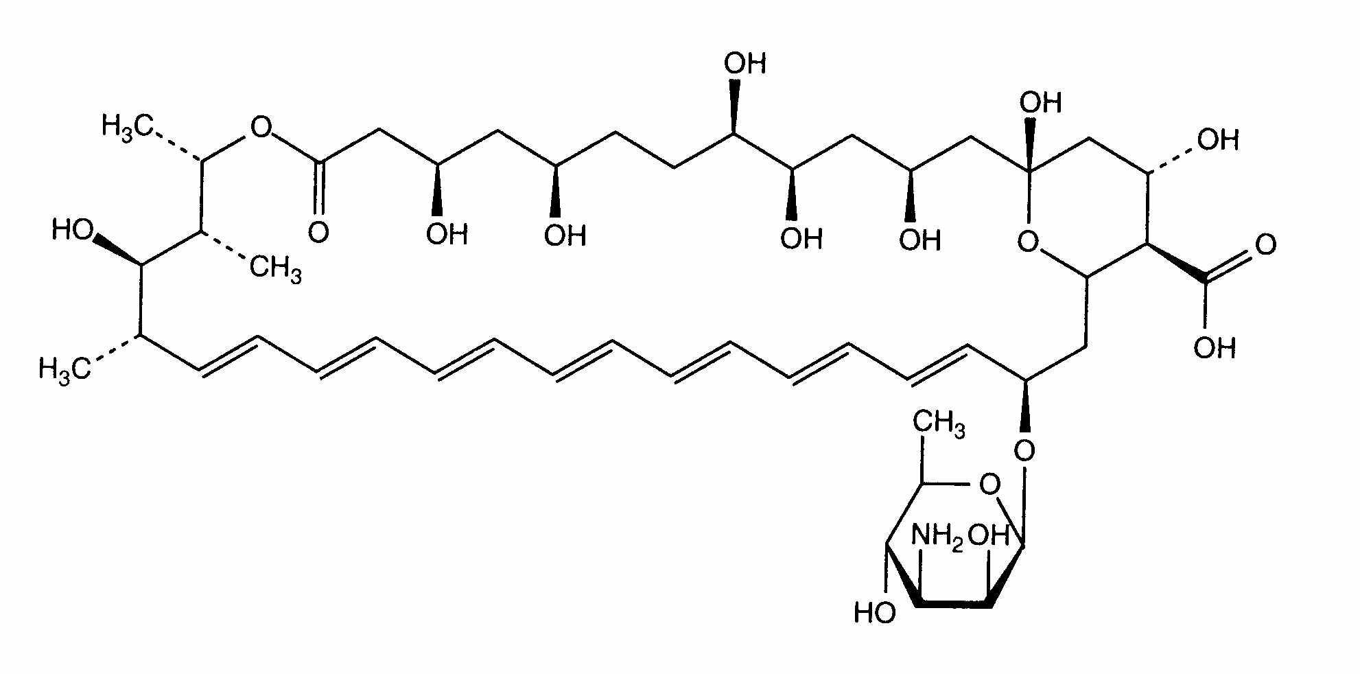
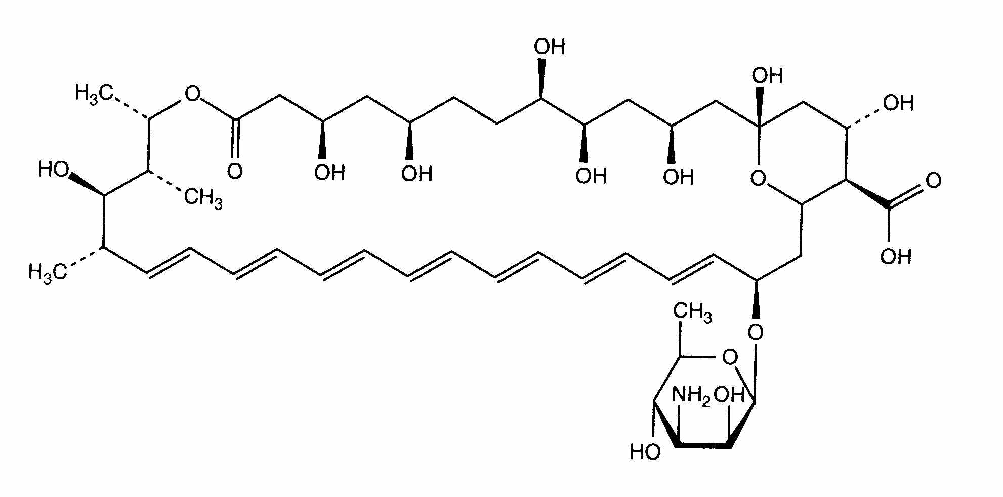
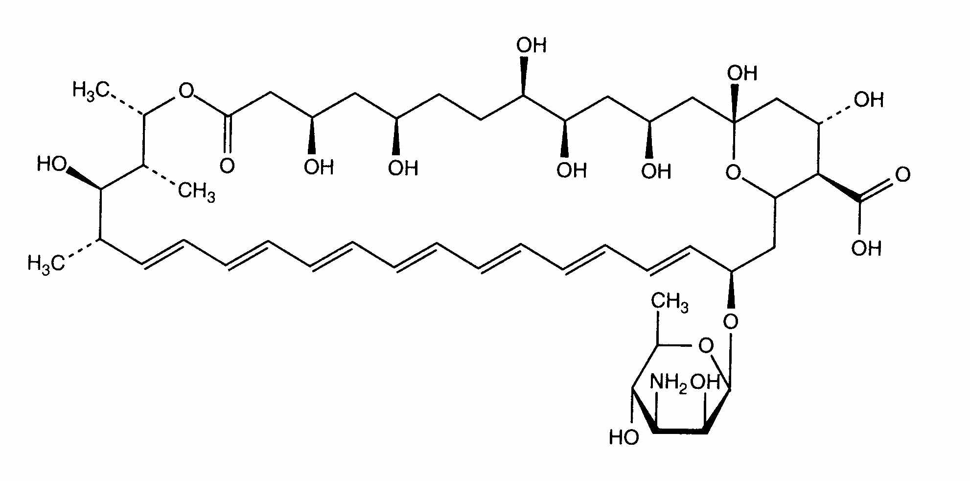
Liposom   Kjemisk struktur  

Handelsnavn   Handelsnavn     

Handelsnavn er veiledende og sammensetning av hjelpestoffer kan være forskjellig avhengig av land og produsent

Ambisome Argentina, Belgia, Brasil, Canada, Chile, Danmark, De forente arabiske emirater, Egypt, Finland, Frankrike, Hellas, India, Irland, Island, Italia, Japan, Luxembourg, Nederland, New Zealand, Norge, Peru, Polen, Portugal, Saudi-Arabia, Spania, Storbritannia, Sveits, Sverige, Thailand, Tyrkia, Tyskland, Ungarn, USA, Østerrike
Administrasjonsmåte   Administrasjonsmåte :Amphotericin B liposomale     
Voie
Intravenøs infusjon

  Mentions Légales