Viimeisin päivitys :
27/04/2026
Sienilääkkeet   Amphotericin B liposomale  
Injektioneste
Silmätipat
Stabilius liuoksessa Stabilius seoksissa Tekijät, jotka vaikuttavat stabiliuteen Yhteensopivuus Antotapa Viitteet pdf
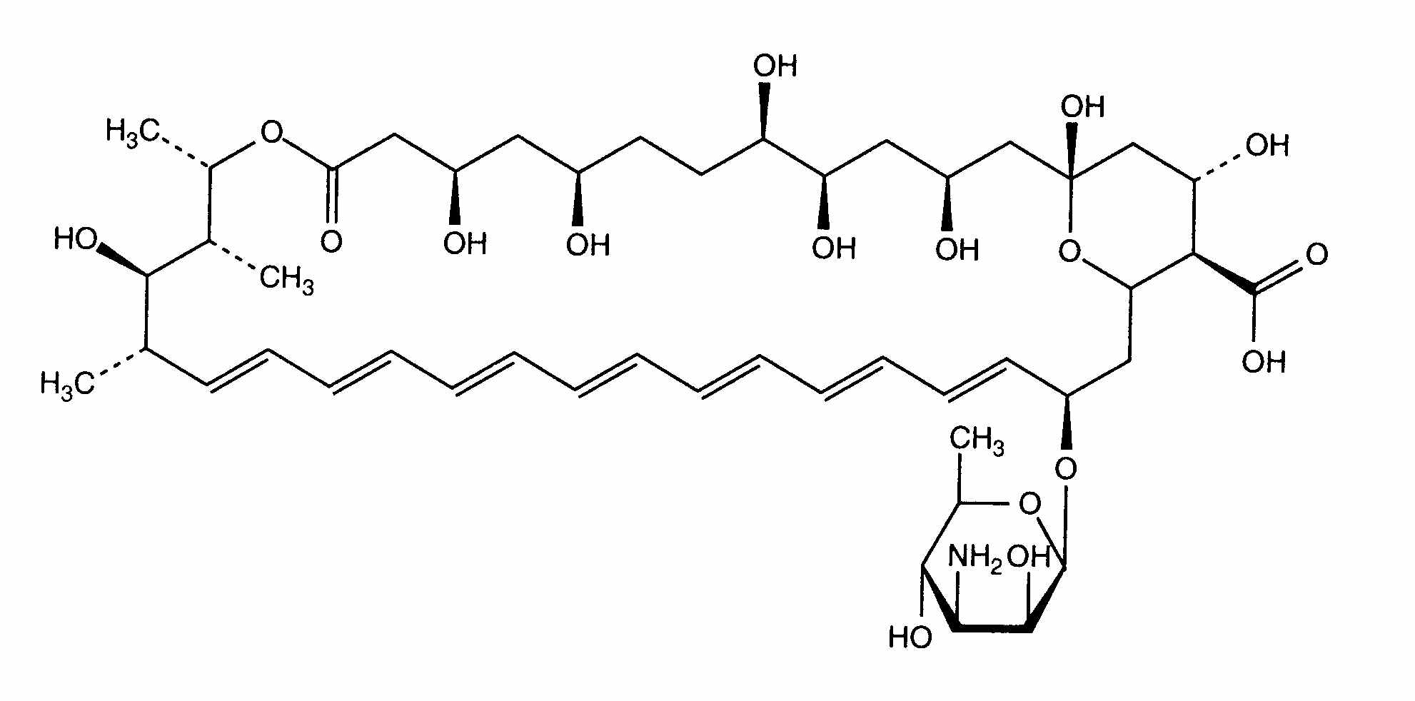
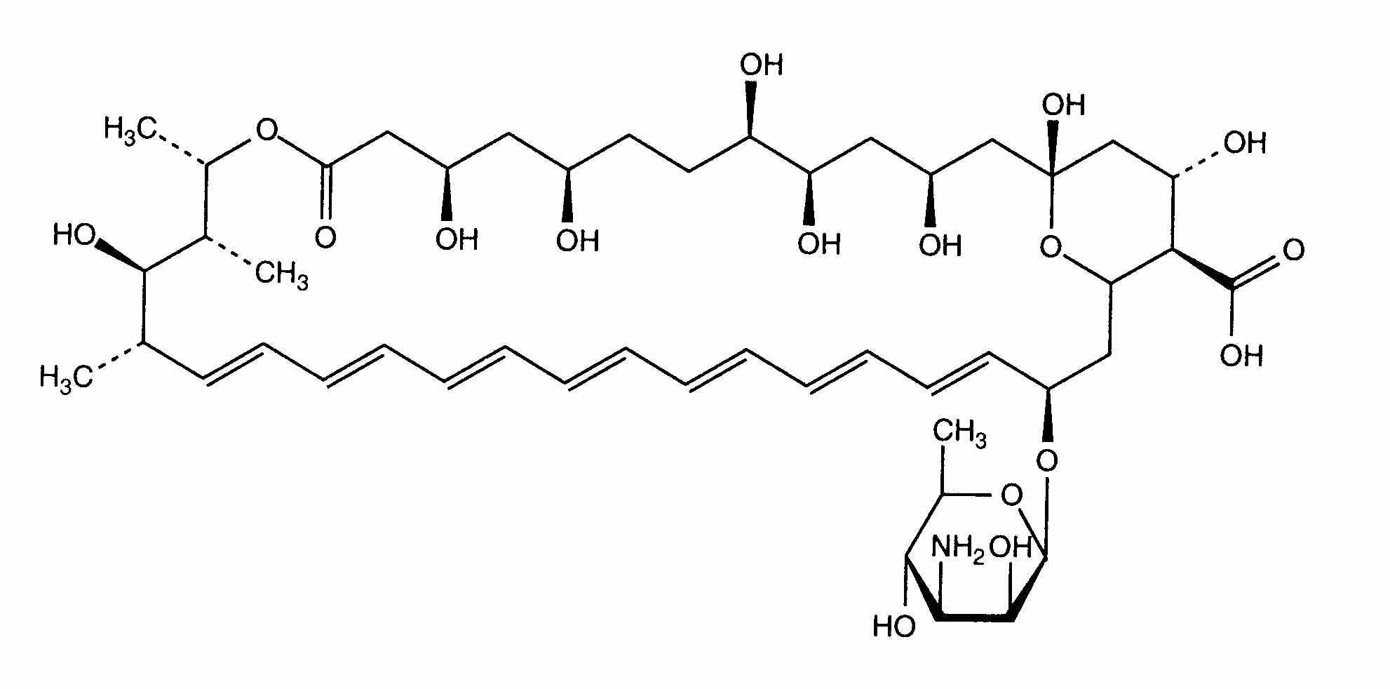
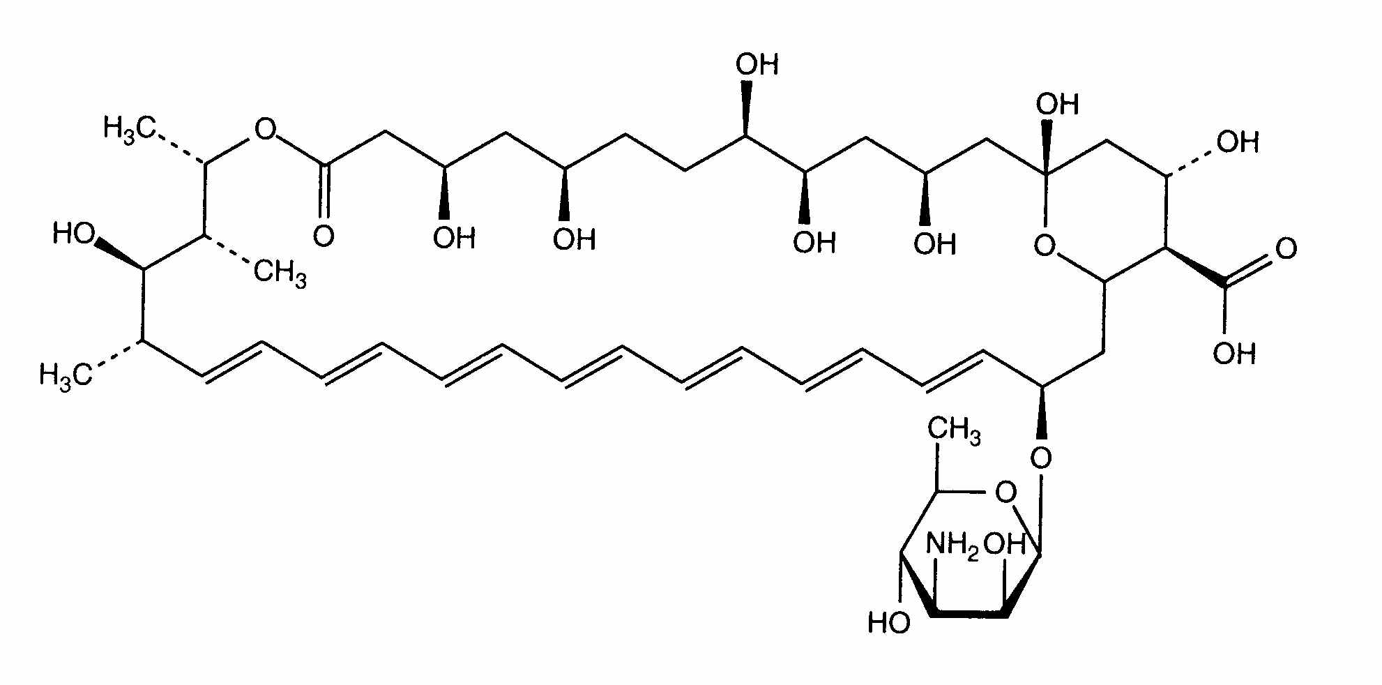
Liposomi   Kemiallinen rakenne  

Kauppanimi   Kauppanimi     

Trade names are indicative and excipients composition can be different depending on the country and manufacturers

Ambisome Argentiina, Belgia, Brasilia, Chile, Egypti, Espanja, Hollanti, Intia, Irlanti, Islanti, Iso-Britannia, Italia, Itävalta, Japani, Kanada, Kreikka, Luxemburg, Marokko, New Zealand, Norja, Portugali, Puola, Ranska, Ruotsi, Saksa, Saudi-Arabia, Suomi, Sveitsi, Tanska, Thaimaa, Turkki, Unkari, Yhdistyneet arabiemiirikunnat, Yhdysvallat
Antotapa   Antotapa :Amphotericin B liposomale     
Voie
Intravenoosi-infuusio

  Mentions Légales