Poslední aktualizace :
27/01/2026
Protiplísňový přípravek   Amphotericin B liposomale  
injekce
Humbuk
Stabilita roztoků Stabilita směsí Faktory ovlivňující stabilitu Kompatibilita Způsoby aplikace Odkazy pdf
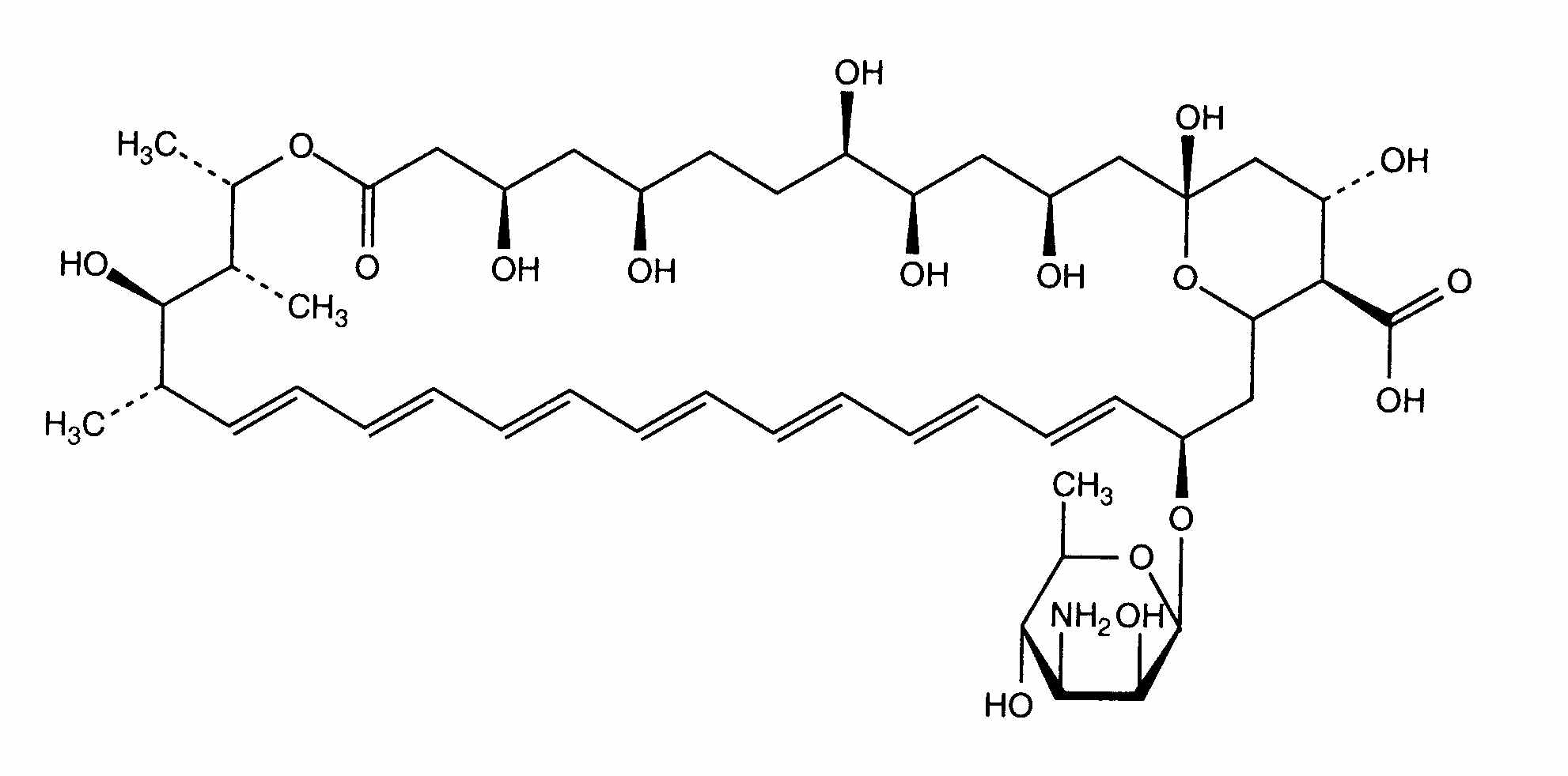
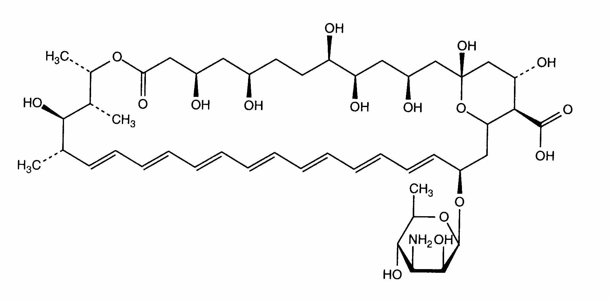
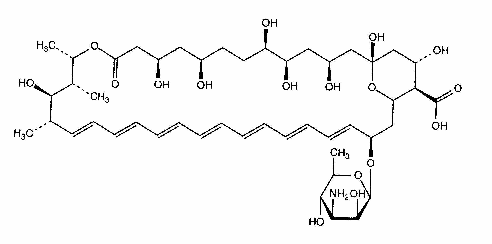
Lipozom   Chemický vzorec  

Obchodní název   Obchodní název     

Trade names are indicative and excipients composition can be different depending on the country and manufacturers

Ambisome äpanÏlsko, Argentina, Belgie, BrazÌlie, Chile, Dánsko, Egypt, Finsko, Francie, Indie, Irsko, Island, Itálie, Japonsko, Kanada, Lucembursko, MaÔarsko, NÏmecko, Nizozemsko, Norsko, nový Zéland, Peru, Polsko, Portugalsko, Rakousko, Saúdská Arábie, Spojené arabské emiráty, Švédsko, Švýcarsko, Thajsko, Turecko, USA, Velká Británie, ÿecko
Způsoby aplikace   Způsoby aplikace :Amphotericin B liposomale     
Voie
Intravenózní infúze

  Mentions Légales