viimane versioon :
27/04/2026
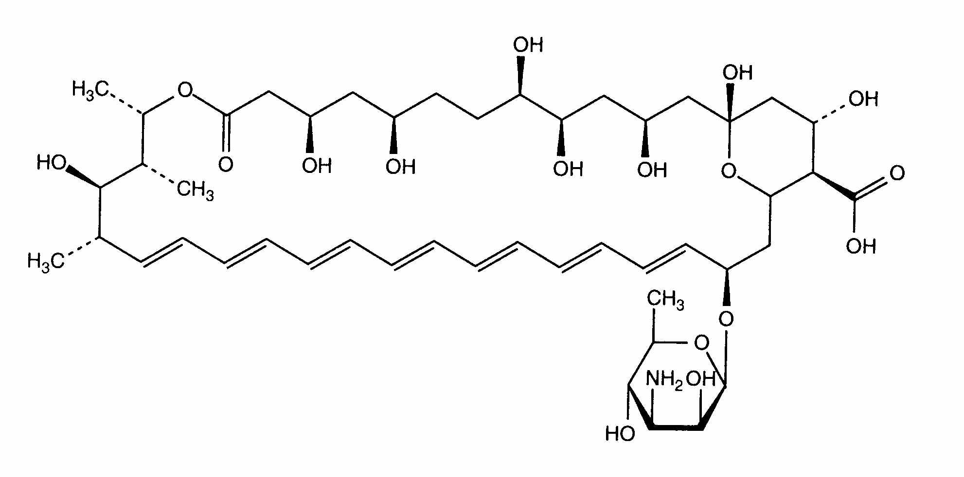
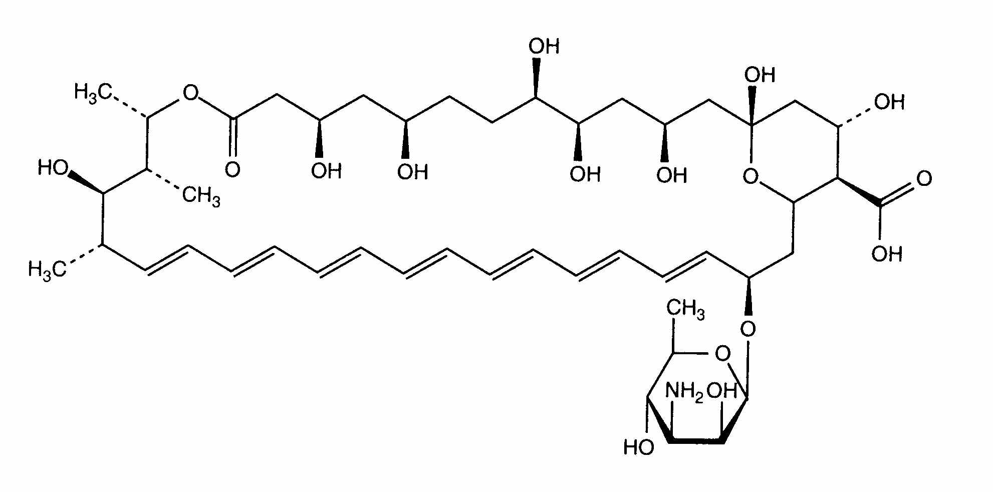
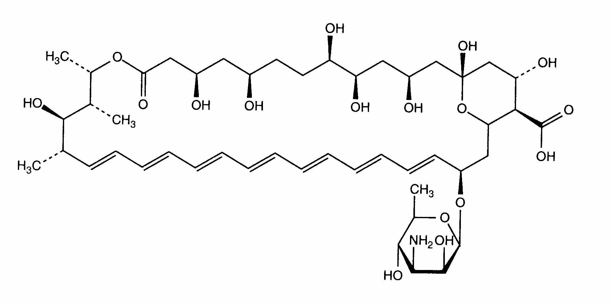
Seenevastane ravim   Amphotericin B liposomale  
Süsteravim
Silmatilgad
Stabiilsus lahustes Stabiilsust mõjutavad tegurid stabiilsust mõjutavad faktorid Sobimatus Manustamis viis Viited pdf
liposoom   keemiline struktuur  

Kaubanduslikud nimed erinevates maades   Kaubanduslikud nimed erinevates maades     

Preparaatide nimed on näitlikud ja abianete sisaldus võib erineda sõltuvalt riigist ja laborist

Ambisome Ameerika ühendriigid, Araabia Ühendemiraadid, Argentiina, Austria, Belgia, Brasiilia, Egiptus, Hispaania, Holland, Iirimaa, India, Island, Itaalia, Jaapan, Kanada, Kreeka, Luksemburg, Maroko, Norra, Poola, Portugal, Prantsusmaa, Rootsi, Saksamaa, Saudi Araabia, Soome, Suurbritannia, Sveits, Taani, Tai, Tšiili, Türgi, Ungari, uus-Meremaa
Manustamis viis   Manustamis viis :Amphotericin B liposomale     
Voie
intravenoosne infusioon

  Mentions Légales