Letztes “update” :
27/04/2026
Antifungoid   Amphotericin B liposomale  
Injektion
Augentropfen
Stabilität der Lösung Gemengestabilität Stabilitätbeeinflussende Faktoren Kompatibilitäten Applikationsart Literaturverzeichnis pdf
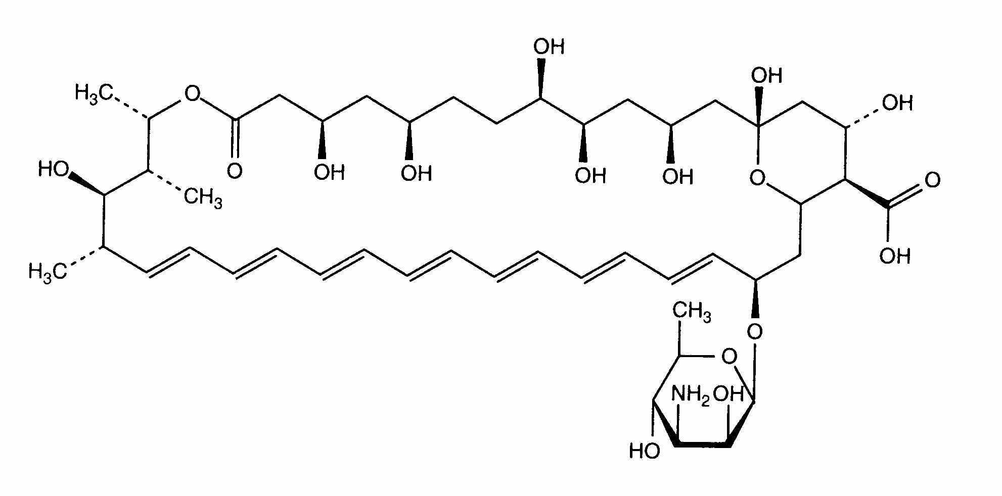
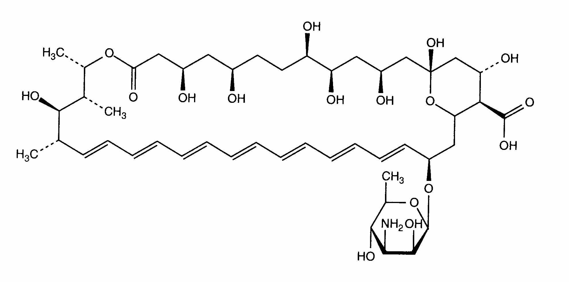
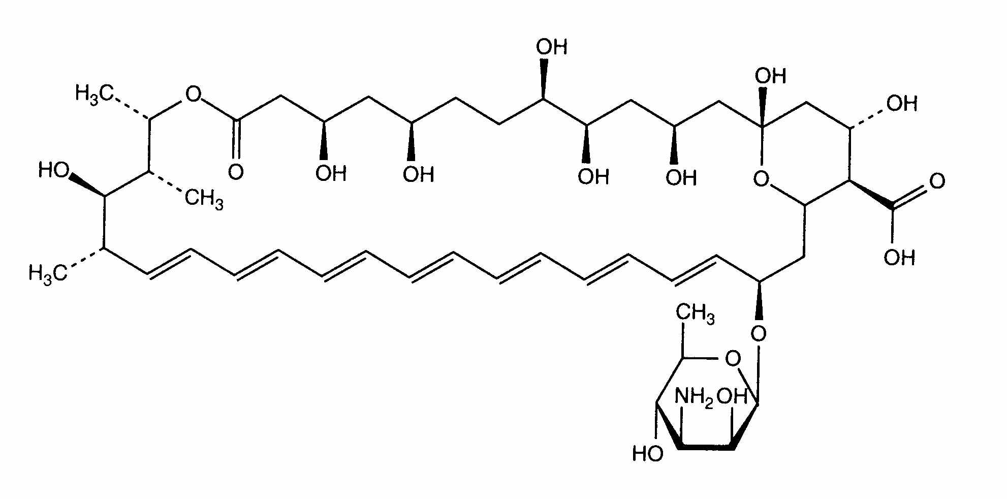
Liposom   Chemische Struktur  

Handelsmarke   Handelsmarke     

Handelsnamen sind als beispielhaft anzusehen. Sonstige Bestandteile können je nach Hersteller oder Land verschieden sein

Ambisome Ägypten, Argentinien, Belgien, Brasilien, Chile, Dänemark, Deutschland, Finnland, Frankreich, Griechenland, Großbritannien, Indien, Irland, Island, Italien, Japan, Kanada, Luxemburg, Neuseeland, Niederlande, Norwegen, Österreich, Peru, Polen, Portugal, Saudi-Arabien, Schweden, Schweiz, Spanien, Thailand, Türkei, Ungarn, Vereinigte Arabische Emirate, Vereinigte Staaten von Amerika
Applikationsart   Applikationsart :Amphotericin B liposomale     
Verabreichung
Intravenöse Perfusion

  Mentions Légales