Seneste opdatering :
27/04/2026
Antisvampe   Amphotericin B liposomale  
Injektion
Øjendråber
Stabilitet i (vandige) opløsninger Stabilitet i blandinger Faktorer der påvirker stabiliteten Kompatibilitet Administrationsvej Bibliografi pdf
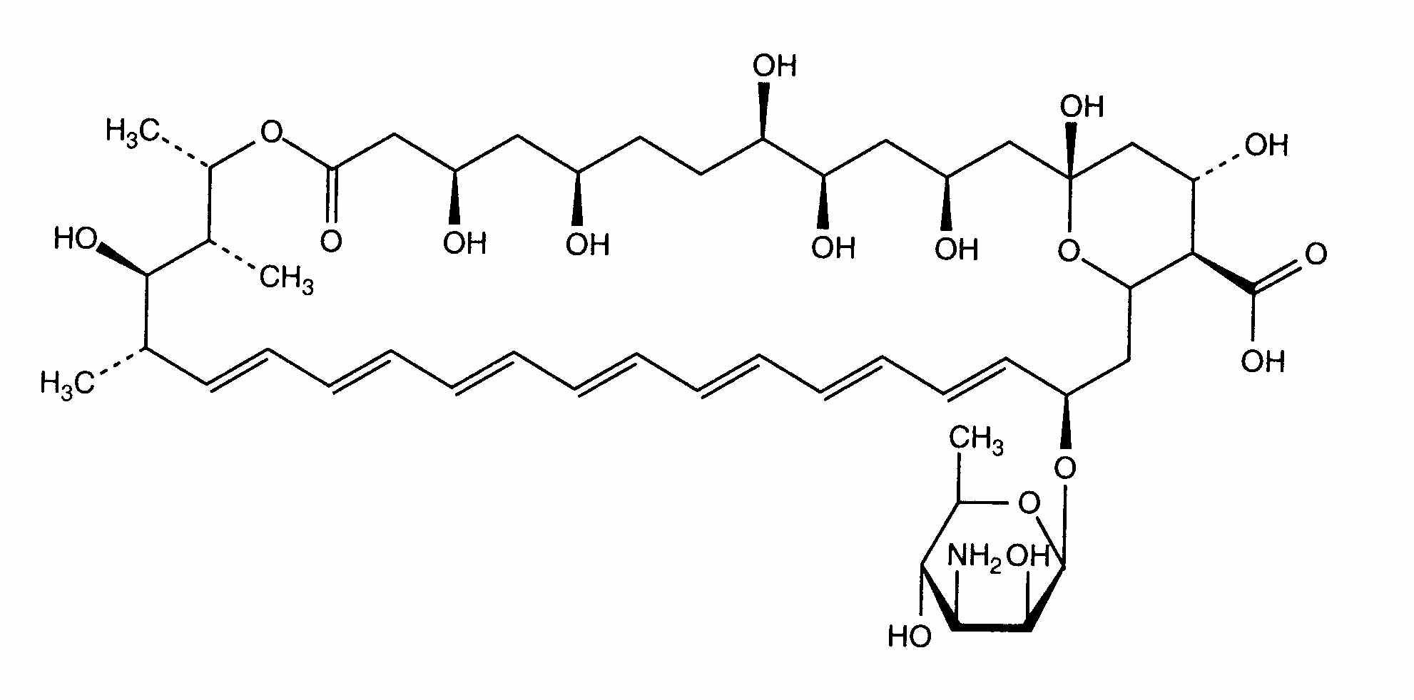
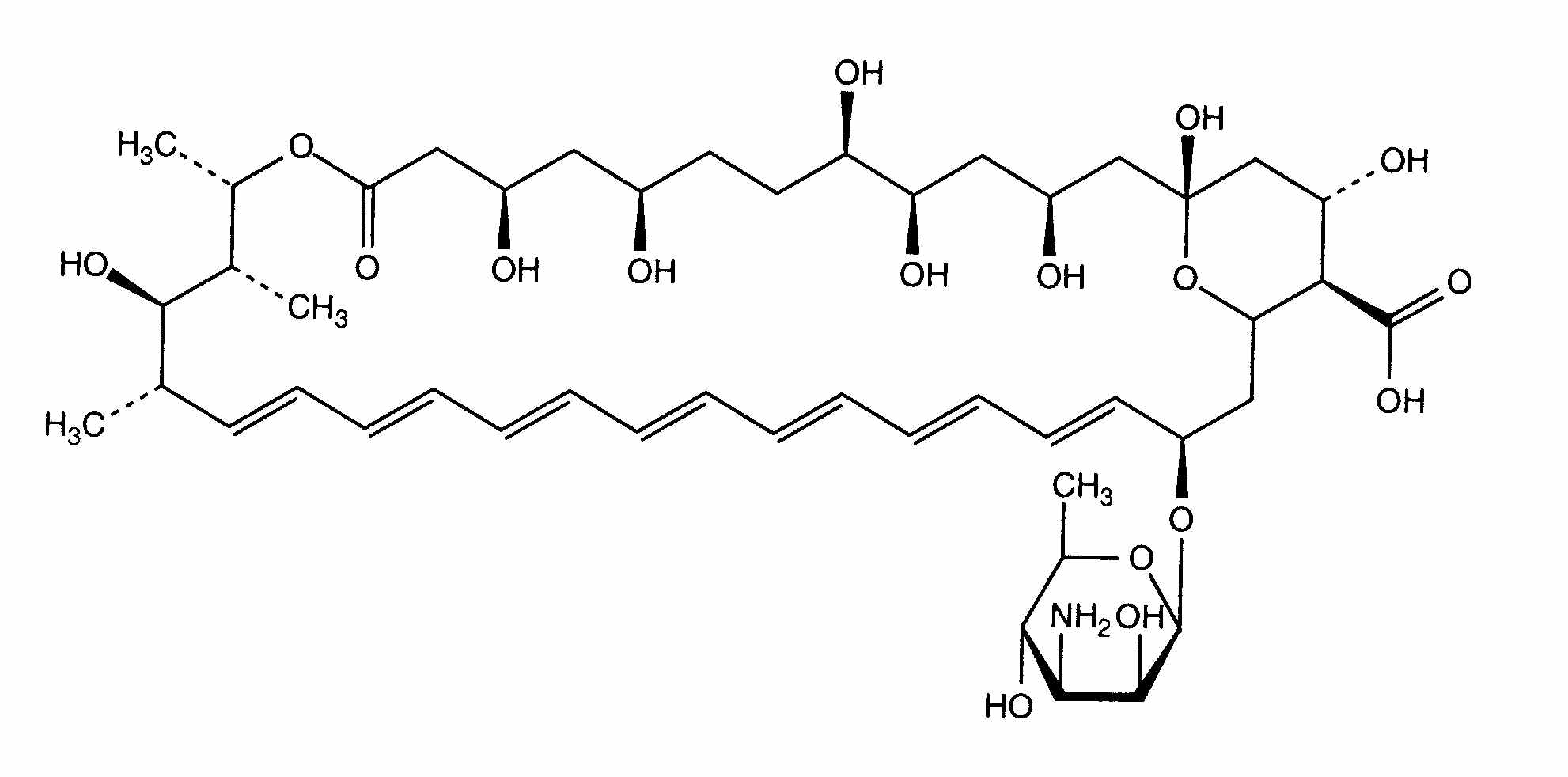
Liposom   Kemisk struktur  

Handelsnavn   Handelsnavn     

Handel navne er vejledende og hjælpestoffer sammensætning kan være forskellig afhængigt af landet og laboratorier

Ambisome Argentina, Belgien, Brasilien, Canada, Chile, Danmark, Finland, Forenede Arabiske Emirater, Frankrig, Grækenland, Holland, Indien, Irland, Island, Italien, Japan, Luxemborg, Marokko, New Zealand, Norge, Polen, Portugal, Saudi-Arabien, Schweiz, Spanien, Storbritanien, Sverige, Thailand, Tyrkiet, Tyskland, Ungarn, USA, Ægypten, Østrig
Administrationsvej   Administrationsvej :Amphotericin B liposomale     
Voie
Intravenøs infusion

  Mentions Légales