Τελευταία ενημέρωση :
27/04/2026
Αντιμυκητικό   Amphotericin B liposomale  
Ενέσιμο
Οφθαλμικές σταγόνες
Σταθερότητα διαλυμάτων Σταθερότητα σε μίγματα Παράγοντας που επηρεάζει τη σταθερότητα Συμβατότητες Τρόπος χορήγησης Βιβλιογραφία pdf
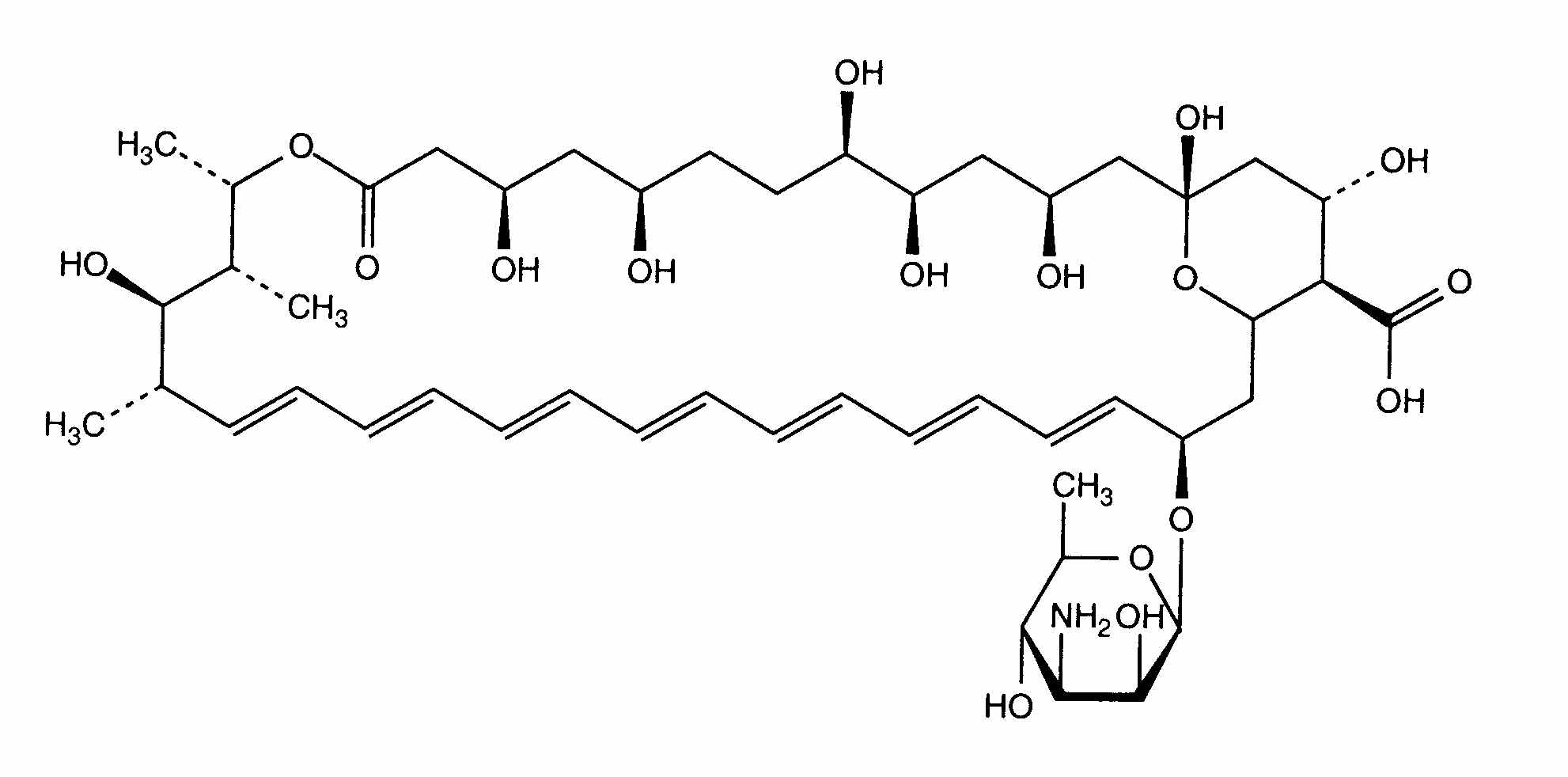
Λιπόσωμα   χημική δομή  

Εμπορική ονομασία   Εμπορική ονομασία     

Οι εμπορικές ονομασίες είναι ενδεικτικές και η σύνθεση των εκδόχων μπορεί να διαφέρει ανάλογα με τη χώρα και τα εργαστήρια

Ambisome Yhdistyneet arabiemiirikunnat, Αίγυπτος, Αργεντινή, Αυστρία, Βέλγιο, Βραζιλία, Γαλλία, Γερμανία, Δανία, Ελβετία, Ελλάδα, Η.Π.Α., Ιαπωνία, Ινδία, Ιρλανδία, Ισλανδία, Ισπανία, Ιταλία, Καναδάς, Λουξεμβούργο, Μεγάλη Βρετανία, νέα Ζηλανδία, Νορβηγία, Ολλανδία, Ουγγαρία, Περού, Πολωνία, Πορτογαλία, Σαουδική Αραβία, Σουηδία, Ταϊλάνδη, Τουρκία, Φινλανδία, Χιλή
Τρόπος χορήγησης   Τρόπος χορήγησης :Amphotericin B liposomale     
Voie
Ενδοφλέβια έκχυση

  Mentions Légales