Laatste update :
27/04/2026
Antimycoticum   Amphotericin B liposomale  
injecteerbaar geneesmiddel
Oogwater
Stabiliteit in oplossing Stabiliteit in mengsels Factoren die de stabiliteit beïnvloeden Verenigbaarheden Toedieningswijze Literatuur pdf
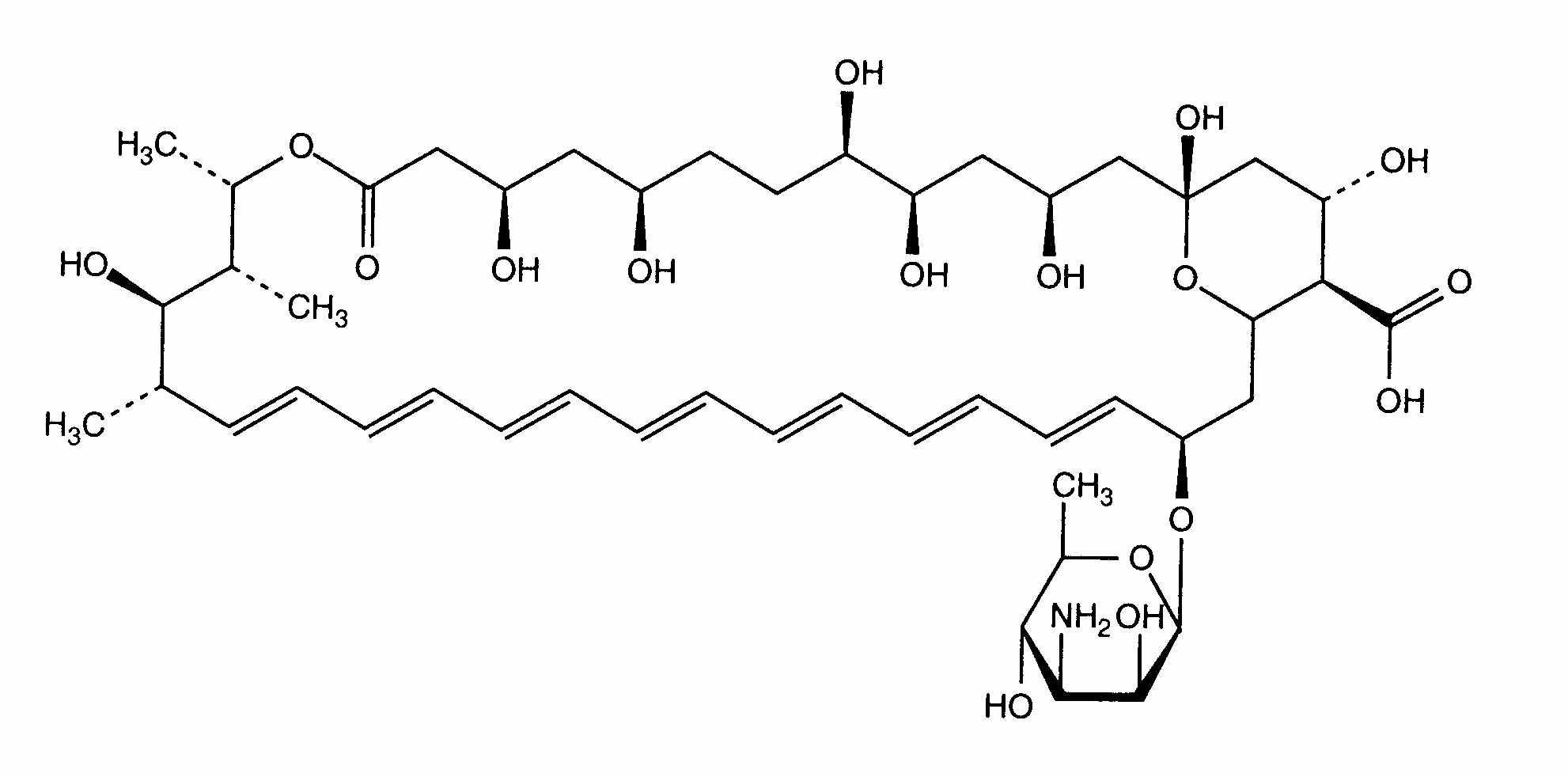
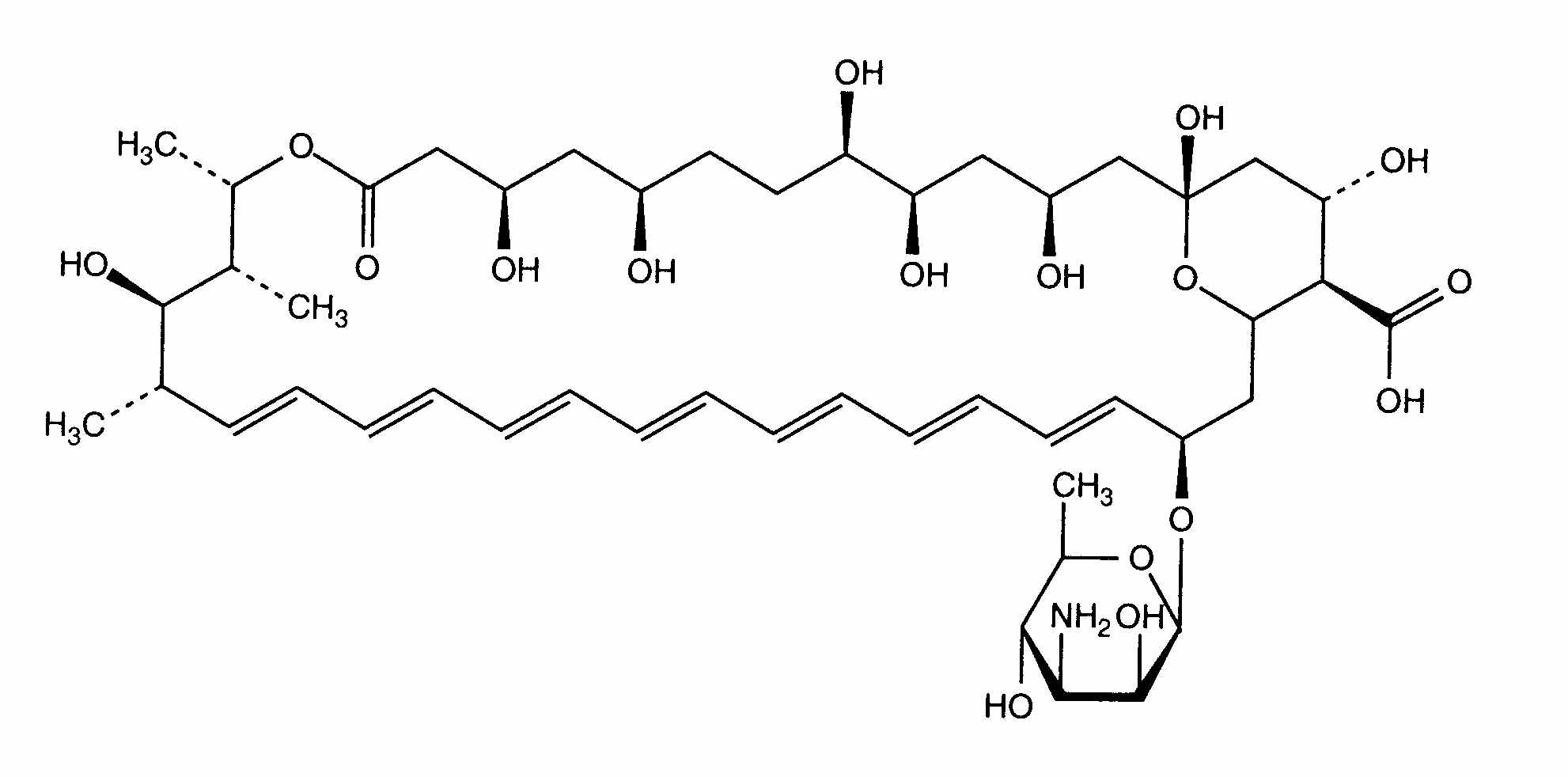
Liposomen   Molecuulstructuur  

Merknamen in verschillende landen   Merknamen in verschillende landen     

Handelsnamen zijn slechts een indicatie; de samenstelling van hulpstoffen kan per land variëren afhankelijk van de fabrikant

Ambisome Argentinië, België, Brazilië, Canada, Chili, Denemarken, Duitsland, Egypte, Finland, Frankrijk, Griekenland, Groot Britannië, Hongarije, Ierland, IJsland, Indië, Italië, Japan, Luxemburg, Nederland, nieuw Zeeland, Noorwegen, Oostenrijk, Peru, Polen, Portugal, Saudi-Arabië, Spanje, Thailand, Turkije, USA, Verenigde Arabische Emiraten, Zweden, Zwitserland
Literatuur   injecteerbaar geneesmiddel   Literatuur : Amphotericin B liposomale  
type publicatie
1982 Artikel Trissel LA, Ogundele AB.
Compatibility of anidulafungin with other drugs during simulated Y-site administration.
Am J Health-Syst Pharm 2005 ; 62: 834-837.
2247 Artikel Chan P, Heatherly K, Kupiec T.C, Trissel L.A.
Compatibility of caspofungin acetate injection with other drugs during simulated Y-site coadministration.
Int J Pharm Compound 2008 ; 12, 3: 276-278.
2262 Artikel Brammer MK, Chan P, Heatherly K, Trusley C, Kupiec TC, Trissel LA, Psathas PA, Gilmor T, Schaufelberger D.
Compatibility of doripenem with other drugs during simulated Y-site administratioN
Am J Health-Syst Pharm 2008 ; 65: 1261-1265.
3012 Artikel Sullivan T, Forrest J.M, Leclair G.
Compatibility of Cloxacillin Sodium with Selected Intravenous Drugs During Simulated Y-Site Administration
Hosp Pharm 2015 ; 50, 3: 214-220.
3254 Artikel Housman S.T, Tessier P.R, Nicolau D.P, Kuti J.L.
Physical compatibility of telavancin hydrochloride with select i.v. drugs during simulated Y-site administration
Am J Health-Syst Pharm 2011 ; 68: 2265-2270.
3398 fabrikant Amphotéricine B (Ambisome®) - Résumé des caractéristiques du produit
Gilead Science (France) 2013
3644 fabrikant Calcium gluconate® - Summary of Product Characteristics
Hameln Pharmaceuticals 2010
3728 Artikel Correard F, Savry A, Gauthier-Villano L, Pisano P, Pourroy B.
Visual compatibility of defibrotide with selected drugs during simulated Y-site administration.
Am J Health-Syst Pharm 2014 ; 71: 1288-1291.
3824 Artikel Boudi S, Roy H, Forest JM, Leclair G.
Compatibilité physique de l'association amoxicilline-acide clavulanique en injection avec plusieurs autres médicaments lors d'une administration en Y.
Pharmactuel 2023 2023;56,3:91-98
3828 Poster Thabit A.K, Hamada Y, Nicolau D.P.
Ceftozolane/tazobactam physical compatibility during simulated Y-site administration.
ASHP Midyear 2015
3829 Poster So W, Kim L, Thabit A.K, Nicolau D.P, Kuti J.L.
Compatibility of isavunazonium sulfate during simulated Y-site administration.
ASHP Midyear 2015
3964 Artikel Audet M.A, Forest E, Friciu M, Forest J.M, Leclair G.
Compatibilité du citrate de caféine injectable avec plusieurs autres médicaments.
Pharmactuel 2017 ; 50,1 : 27-33.
3976 Artikel Du Repaire T, Vigne P, Guedon A, Gauthier-Villano L, Bertault Peres P, Pourroy B.
Visual compatibility of blinatumomab with selected co-administrated drugs during simulated Y-site administration.
Am J Health-Syst Pharm 2017 ; 74,16 : 1217-1218
4055 Artikel Monogue M, Almarzoky Abuhussain S, Kuti J, Nicolau D.
Physical compatibility of fosfomycin for injection with select i.v. drugs during simulated Y-site administration.
Am J Health-Syst Pharm 2018 , 75, 1:36-44
4254 Artikel D'Huart E, Vigneron J, Demoré B.
Physical Compatibility of Intravenous Drugs Commonly Used in Intensive Care Units: An Observational Study and Physical Compatibility Laboratory Tests on Anti-Infective Drugs
Pharmaceutical Technology in Hospital Pharmacy 2019 ;4,1:29-40
4319 Artikel Lessard J-J, Caron E, Schérer H, Forest J-M, Leclair G.
Compatibility of Y-site Injection of Meropenem Trihydrate With 101 Other Injectable Drugs.
Hosp Pharm 2020 ; 55, 5: 332-337.
4543 Artikel Senarathna G, Strunk T, Petrovski M, Batty K.
Physical compatibility of pentoxifylline and intravenous medications.
Archives of Disease in Childhood 2018 ;104:292–295.
4603 Artikel Vallée M, Barthélémy I, Friciu M, Pelletier E, Forest J.M, Benoit F, Leclair G.
Compatibility of Lactated Ringer’s Injection With 94 Selected Intravenous Drugs During Simulated Y-site Administration.
Hosp Pharm 2021 ; 56, 4: 228-234.
4742 Artikel Macoviciuc M, Nguyen C, Forest J-M, Leclair G.
Compatibilité physique de l’acétaminophène injectable avec 102 autres médicaments lors d’une administration en Y.
Pharmactuel 2022 ; 55, 4: 247-255.
4821 Artikel Zuccari G, Villa C, Iurilli V, Barabino P, Zorzoli A, Marimpietri D, Caviglia D, Russo
AmBisome® Formulations for Pediatrics: Stability, Cytotoxicity, and Cost-Effectiveness Studies.
Pharmaceutics 2024 ; 16: 466.
4837 Artikel De Silva, D.T.N Petrovski M, Strunk T, Mukadam N, Page‑Sharp N, Moore B.R, Batty K.T.
Physicochemical compatibility of caffeine citrate and caffeine base injections with parenteral medications used in neonatal intensive care settings.
Eur J Clin Pharmacol 2024 ; 80:1079–1087.
4845 Artikel De Silva D.T.N, Strunk T, Petrovski M, Page-Sharp M, Moore B.R, Batty K.T.
The Physicochemical Compatibility of Sildenafil Injection with Parenteral Medications Used in Neonatal Intensive Care Settings.
Pharmaceutics 2024 ;1 6, 419.
4964 fabrikant GLUCONATE DE CALCIUM 10 % B.BRAUN, solution pour perfusion - Résumé des caractéristiques du produit.
B BRAUN MELSUNGEN AG 2019

  Mentions Légales