zadnja posodobitev :
31/03/2026
Antibiotik   Penicillin G sodium  
Brizgalka
Stabilnost raztopine Stabilnost mešanice Faktorji, ki vplivajo na stabilnost Kompatibilnost način aplikacije Viri pdf
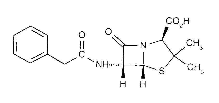
   Kemična formula  

Lastniško ime   Lastniško ime     

Sestava pomožnih snovi je med paralelami lahko različna

Benapen Brazilija
Bencilpenicilina Čile, Ekvador, Peru
Benpen Avstralija, nova Zelandija
Bensylpenicillin Švedska
Benzapen Iran
Benzatec Južnoafriška republika
Benzatron Brazilija
Benzylpenicillin Danska, Egipt, Finska, Norveška, Švedska
Benzylpenicilline Tunizija
Biconcillina Ekvador
Crystapen Irska, Kanada, Velika Britanija
Declin Mehika
Fortepen Savdska Arabija
Geepenil Finska
Natrium penicillin G Nizozemska
Novopen Južnoafriška republika
Pebencil Venezuela
Penbendox Mehika
Penibiot Španija
Penicillin Norveška
Penicillina G sodica Argentina, Čile, Ekvador, Kolumbija, Portugalska
Penilevel Španija
Sodiopen Španija
Unicillina Španija
način aplikacije   način aplikacije :Penicillin G sodium     
Voie
Intravenska infuzija
Intramuskularno
Podkožno
Intrapleuralno
antraartikularno

  Mentions Légales