Poslední aktualizace :
31/03/2026
Antibiotikas   Penicillin G sodium  
Įpurškimas
Tirpalų stabilumas Mišinių stabilumas Stabilumą lemiantys veiksniai Suderinamumas Leidimo būdai Bibliografija pdf
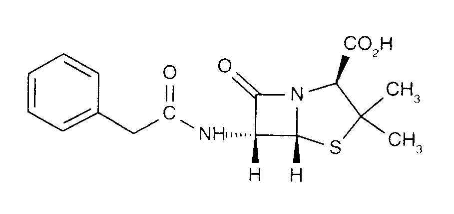
   Cheminė sandara  

Prekinis pavadinimas   Prekinis pavadinimas     

Trade names are indicative and excipients composition can be different depending on the country and manufacturers

Benapen Brazilija
Bencilpenicilina Čilė, Ekvadoras, Peru
Benpen Australija, Naujojoje Zelandijoje
Bensylpenicillin Švedija
Benzapen Iranas
Benzatec Pietų Afrikos Respublika
Benzatron Brazilija
Benzylpenicillin Danija, Egiptas, Norvegija, Suomija, Švedija
Benzylpenicilline Tunisas
Biconcillina Ekvadoras
Crystapen Airija, Didžioji Britanija, Kanada
Declin Meksikas
Fortepen Saudo Arabija
Geepenil Suomija
Natrium penicillin G Olandija
Novopen Pietų Afrikos Respublika
Pebencil Venesuela
Penbendox Meksikas
Penibiot Ispanija
Penicillin Norvegija
Penicillina G sodica Argentina, Čilė, Ekvadoras, Kolumbija, Portugalija
Penilevel Ispanija
Sodiopen Ispanija
Unicillina Ispanija
Leidimo būdai   Leidimo būdai :Penicillin G sodium     
Voie
Intraveninė infuzija
Intramuskulinis
Švirkščiamas po oda
Švirkščiamas į pleurą
Intrasąnarinis

  Mentions Légales