Ultimele actualizari :
31/03/2026
Antibiotic   Penicillin G sodium  
Injectabil
Stabilitatea in solutie Stabilitatea in amestec Factorii care influenteaza stabilitatea Compatibilitate Microunde Bibliografie pdf
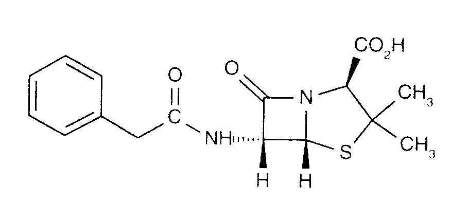
   Formula chimica  

Denumirea comerciala   Denumirea comerciala     

Trade names are indicative and excipients composition can be different depending on the country and manufacturers

Benapen Brazilia
Bencilpenicilina Chilli, Ecuador, Peru
Benpen Australia, noua Zeelandă
Bensylpenicillin Suedia
Benzapen Iran
Benzatec Africa de Sud
Benzatron Brazilia
Benzylpenicillin Danemarca, Egipt, Finlanda, Norvegia, Suedia
Benzylpenicilline Tunisia
Biconcillina Ecuador
Crystapen Canada, Irlanda, Marea Britanie
Declin Mexic
Fortepen Arabia Saudita
Geepenil Finlanda
Natrium penicillin G Olanda
Novopen Africa de Sud
Pebencil Venezuela
Penbendox Mexic
Penibiot Spania
Penicillin Norvegia
Penicillina G sodica Argentina, Chilli, Columbia, Ecuador, Portugalia
Penilevel Spania
Sodiopen Spania
Unicillina Spania
Microunde   Microunde :Penicillin G sodium     
Voie
Perfuzie intravenoasa
Intra-muscular
sub-cutanat
Intra-pleural
Intra-articular

  Mentions Légales