最新更新 :
31/03/2026
抗菌薬   Penicillin G sodium  
注射薬
溶媒内の安定性 混合時の安定性 安定性に影響する因子 互換性 投与経路 引用文献 PDF
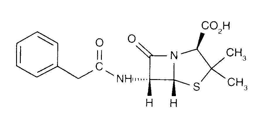
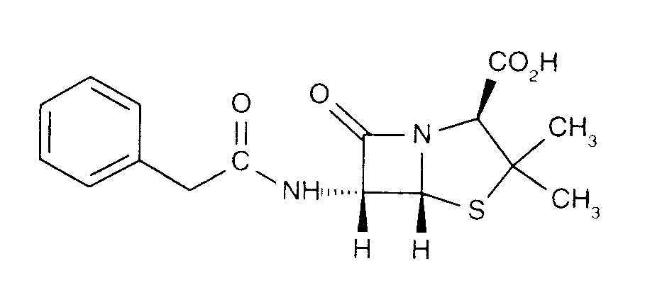
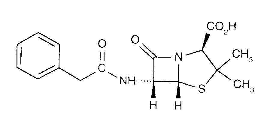
   化学構造  

商品名   商品名     

商品名、賦形剤は国、製薬会社ごとに異なることがあります

Benapen ブラジル
Bencilpenicilina エクアドル, チリ, ペルー
Benpen アーストラリア, ニュージーランド
Bensylpenicillin スウェーデン
Benzapen イラン
Benzatec 南アフリカ共和国
Benzatron ブラジル
Benzylpenicillin エジプト, スウェーデン, デンマーク, ノルウェー, フィンランド
Benzylpenicilline チュニジア
Biconcillina エクアドル
Crystapen アイルランド, イギリス, カナダ
Declin メキシコ
Fortepen サウジアラビア
Geepenil フィンランド
Natrium penicillin G オランダ
Novopen 南アフリカ共和国
Pebencil ベネズエラ
Penbendox メキシコ
Penibiot スペイン
Penicillin ノルウェー
Penicillina G sodica アルゼンチン, エクアドル, コロンビア, チリ, ポルトガル
Penilevel スペイン
Sodiopen スペイン
Unicillina スペイン
投与経路   投与経路 :Penicillin G sodium     
経路
点滴静注
筋肉注射
皮下
胸膜腔内
関節内

  Mentions Légales