Последно актуализиране :
31/03/2026
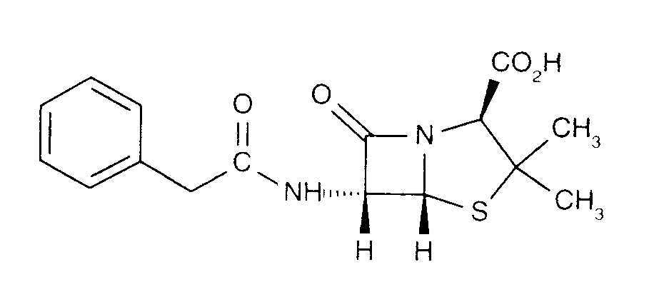
Антибиотик   Penicillin G sodium  
Инжекция/Инжекционен
Стабилност на разтвори Стабилност на смеси Фактори, повлияващи стабилността Съвместимост Път на въвеждане Библиография Pdf
   Химична структура  

Търговско наименование   Търговско наименование     

Търговските имена са примерни и съставът на помощните вещества може да бъде различен в зависимост от държавата и лабораториите

Benapen Бразилия
Bencilpenicilina Еквадор, Перу, Чили
Benpen Австралия, нова Зеландия
Bensylpenicillin Швеция
Benzapen Иран
Benzatec Южноафриканска република / ЮАР
Benzatron Бразилия
Benzylpenicillin Дания, Египет, Норвегия, Финландия, Швеция
Benzylpenicilline Тунис
Biconcillina Еквадор
Crystapen Великобритания, Ирландия, Канада
Declin Мексико
Fortepen Саудитска Арабия
Geepenil Финландия
Natrium penicillin G Холандия
Novopen Южноафриканска република / ЮАР
Pebencil Венецуела
Penbendox Мексико
Penibiot Испания
Penicillin Норвегия
Penicillina G sodica Аржентина, Еквадор, Колумбия, Португалия, Чили
Penilevel Испания
Sodiopen Испания
Unicillina Испания
Път на въвеждане   Път на въвеждане :Penicillin G sodium     
Voie
Интравенозна инфузия
Интрамускулно
Подкожна
Интраплеврално
Вътреставно

  Mentions Légales