viimane versioon :
31/03/2026
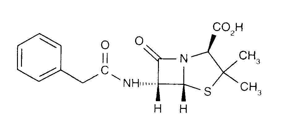
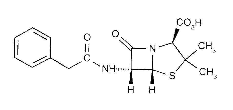
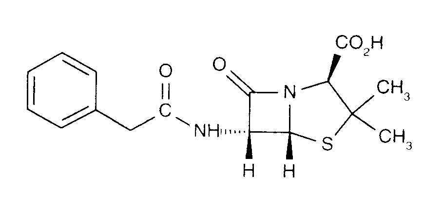
antibiootikum   Penicillin G sodium  
Süsteravim
Stabiilsus lahustes Stabiilsust mõjutavad tegurid stabiilsust mõjutavad faktorid Sobimatus Manustamis viis Viited pdf
   keemiline struktuur  

Kaubanduslikud nimed erinevates maades   Kaubanduslikud nimed erinevates maades     

Preparaatide nimed on näitlikud ja abianete sisaldus võib erineda sõltuvalt riigist ja laborist

Benapen Brasiilia
Bencilpenicilina Ecuador, Maroko, Tšiili
Benpen Austraalia, uus-Meremaa
Bensylpenicillin Rootsi
Benzapen Iraan
Benzatec Lõuna Aafrika Vabariik
Benzatron Brasiilia
Benzylpenicillin Egiptus, Norra, Rootsi, Soome, Taani
Benzylpenicilline Tuneesia
Biconcillina Ecuador
Crystapen Iirimaa, Kanada, Suurbritannia
Declin Mehhiko
Fortepen Saudi Araabia
Geepenil Soome
Natrium penicillin G Holland
Novopen Lõuna Aafrika Vabariik
Pebencil Venetsueela
Penbendox Mehhiko
Penibiot Hispaania
Penicillin Norra
Penicillina G sodica Argentiina, Ecuador, Kolumbia, Portugal, Tšiili
Penilevel Hispaania
Sodiopen Hispaania
Unicillina Hispaania
Manustamis viis   Manustamis viis :Penicillin G sodium     
Voie
intravenoosne infusioon
intramuskulaarne
subkutaanne
intrapleuraalne
intraartikulaarne

  Mentions Légales