Poslední aktualizace :
27/04/2026
Kurarimimetikas   Cisatracurium besylate  
Įpurškimas
Tirpalų stabilumas Mišinių stabilumas Stabilumą lemiantys veiksniai Suderinamumas Leidimo būdai Bibliografija pdf
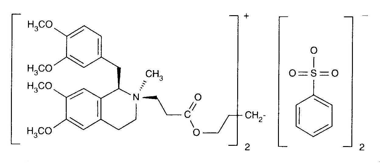
   Cheminė sandara  

Prekinis pavadinimas   Prekinis pavadinimas     

Trade names are indicative and excipients composition can be different depending on the country and manufacturers

Bensitrak Meksikas
Besilato de cisatracurio
Cicuryl Meksikas
Cirium Kolumbija
Cis Atracure
Cisatracurio Brazilija, Čilė, Ekvadoras, Ispanija, Italija, Kolumbija, Peru
Cisatracurium Airija, Belgija, Didžioji Britanija, Kanada, Prancūzija, Suomija, Tunisas, Vengrija, Vokietija
Nimbex Airija, Austrija, Belgija, Čilė, Danija, Didžioji Britanija, Egiptas, Ekvadoras, Graikija, Iranas, Ispanija, Italija, Jungtinės Amerikos Valstijos, Jungtiniai Arabų Emyratai, Kanada, Lenkija, Liuksemburgas, Malaizija, Meksikas, Norvegija, Olandija, Peru, Portugalija, Prancūzija, Saudo Arabija, Slovėnija, Suomija, Švedija, Tunisas, Turkija, Venesuela, Vengrija, Vokietija
Nimbium Brazilija, Kolumbija
Tirpalų stabilumas   Įpurškimas   Tirpalų stabilumas : Cisatracurium besylate     
Pakuotė Tirpiklis Koncentracija Temperatūra Laikymas Stabilumo trukmė Nuorodos
Stiklas Nėra 10 mg/ml 2-8°C Apsaugotas nuo šviesos
450 Diena
4769
Bandymo lygis A+

Stiklas Nėra 2 & 10 mg/ml 23°C Ir šviesoje, ir tamsoje
45 Diena
533
Bandymo lygis A+

Stiklas Nėra 2 & 10 mg/ml 4°C Apsaugotas nuo šviesos
90 Diena
533
Bandymo lygis A+

Polivinilchloridas Natrio chloridas 0,9% 0,1 & 2 & 5 mg/ml 4°C Apsaugotas nuo šviesos
30 Diena
533
Bandymo lygis A+

Polivinilchloridas Natrio chloridas 0,9% 5 mg/ml 23°C Ir šviesoje, ir tamsoje
30 Diena
533
Bandymo lygis A+

Polivinilchloridas Gliukozė 5% 0,1 & 2 & 5 mg/ml 4°C Apsaugotas nuo šviesos
30 Diena
533
Bandymo lygis A+

Polivinilchloridas Gliukozė 5% 5 mg/ml 23°C Ir šviesoje, ir tamsoje
30 Diena
533
Bandymo lygis A+

Poliolefinas Natrio chloridas 0,9% 0,1 mg/ml 23-27°C Nenurodyta
48 Valanda
4358
Bandymo lygis C+

Poliolefinas Natrio chloridas 0,9% 0,1 mg/ml 4-6°C Nenurodyta
7 Diena
4358
Bandymo lygis C+

Poliolefinas Gliukozė 5% 0,1 mg/ml 23-27°C Nenurodyta
24 Valanda
4358
Bandymo lygis C+

Poliolefinas Gliukozė 5% 0,1 mg/ml 4-6°C Nenurodyta
7 Diena
4358
Bandymo lygis C+

Švirkštas polipropileno Natrio chloridas 0,9% 0,1 mg/ml 23-27°C Nenurodyta
2 Diena
4358
Bandymo lygis C+

Švirkštas polipropileno Natrio chloridas 0,9% 0,1 mg/ml 4-6°C Nenurodyta
7 Diena
4358
Bandymo lygis C+

Švirkštas polipropileno Gliukozė 5% 0,1 mg/ml 23-27°C Nenurodyta
2 Diena
4358
Bandymo lygis C+

Švirkštas polipropileno Gliukozė 5% 0,1 mg/ml 4-6°C Nenurodyta
2 Diena
4358
Bandymo lygis C+

Švirkštas polipropileno Nėra 2 mg/ml 23-27°C Nenurodyta
7 Diena
4358
Bandymo lygis C+

Švirkštas polipropileno Nėra 2 mg/ml 23°C Ir šviesoje, ir tamsoje
30 Diena
533
Bandymo lygis A+

Švirkštas polipropileno Nėra 2 mg/ml 4-6°C Nenurodyta
7 Diena
4358
Bandymo lygis C+

Švirkštas polipropileno Nėra 2 mg/ml 4°C Apsaugotas nuo šviesos
30 Diena
533
Bandymo lygis A+

Švirkštas polipropileno Nėra 5 mg/ml 23-27°C Nenurodyta
7 Diena
4358
Bandymo lygis C+

Švirkštas polipropileno Nėra 5 mg/ml 4-6°C Nenurodyta
7 Diena
4358
Bandymo lygis C+


  Mentions Légales