Last update :
27/04/2026
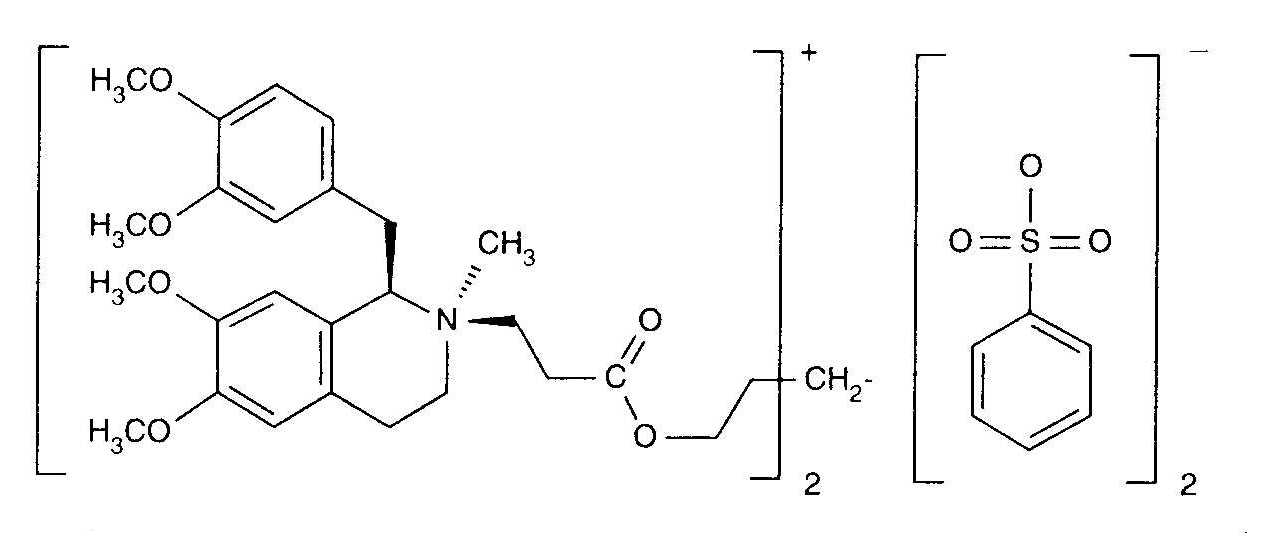
Curarimimetic   Cisatracurium besylate  
injection
Stability in solutions Stability of mixtures Factors which affect stability Compatibility Route of administration References pdf
   Chemical structure  

Tradename   Tradename     

Trade names are indicative and excipients composition can be different depending on the country and manufacturers

Bensitrak Mexico
Besilato de cisatracurio
Cicuryl Mexico
Cirium Colombia
Cis Atracure
Cisatracurio Brazil, Chile, Colombia, Ecuador, Italy, Peru, Spain
Cisatracurium Belgium, Canada, Finland, France, Germany, Great Britain, Hungary, Ireland, Tunisia
Nimbex Austria, Belgium, Canada, Chile, Denmark, Ecuador, Egypt, Finland, France, Germany, Great Britain, Greece, Hungary, Iran, Ireland, Italy, Luxembourg, Malaysia, Mexico, Netherlands, Norway, Peru, Poland, Portugal, Saudi Arabia, Slovenia, Spain, Sweden, Tunisia, Turkey, United Arab Emirates, United States of America, Venezuela
Nimbium Brazil, Colombia
Stability in solutions   injection   Stability in solutions : Cisatracurium besylate     
Container Solvent Concentration Temperature Storage Duration of stability References
Glass None 10 mg/ml 2-8°C Protect from light
450 Day
4769
Level of evidence A+

Glass None 2 & 10 mg/ml 23°C With or without light
45 Day
533
Level of evidence A+

Glass None 2 & 10 mg/ml 4°C Protect from light
90 Day
533
Level of evidence A+

Polyvinyl chloride Sodium chloride 0,9% 0,1 & 2 & 5 mg/ml 4°C Protect from light
30 Day
533
Level of evidence A+

Polyvinyl chloride Sodium chloride 0,9% 5 mg/ml 23°C With or without light
30 Day
533
Level of evidence A+

Polyvinyl chloride Glucose 5% 0,1 & 2 & 5 mg/ml 4°C Protect from light
30 Day
533
Level of evidence A+

Polyvinyl chloride Glucose 5% 5 mg/ml 23°C With or without light
30 Day
533
Level of evidence A+

Polyolefine Sodium chloride 0,9% 0,1 mg/ml 23-27°C Not specified
48 Hour
4358
Level of evidence C+

Polyolefine Sodium chloride 0,9% 0,1 mg/ml 4-6°C Not specified
7 Day
4358
Level of evidence C+

Polyolefine Glucose 5% 0,1 mg/ml 23-27°C Not specified
24 Hour
4358
Level of evidence C+

Polyolefine Glucose 5% 0,1 mg/ml 4-6°C Not specified
7 Day
4358
Level of evidence C+

Polypropylen Syringe Sodium chloride 0,9% 0,1 mg/ml 23-27°C Not specified
2 Day
4358
Level of evidence C+

Polypropylen Syringe Sodium chloride 0,9% 0,1 mg/ml 4-6°C Not specified
7 Day
4358
Level of evidence C+

Polypropylen Syringe Glucose 5% 0,1 mg/ml 23-27°C Not specified
2 Day
4358
Level of evidence C+

Polypropylen Syringe Glucose 5% 0,1 mg/ml 4-6°C Not specified
2 Day
4358
Level of evidence C+

Polypropylen Syringe None 2 mg/ml 23-27°C Not specified
7 Day
4358
Level of evidence C+

Polypropylen Syringe None 2 mg/ml 23°C With or without light
30 Day
533
Level of evidence A+

Polypropylen Syringe None 2 mg/ml 4-6°C Not specified
7 Day
4358
Level of evidence C+

Polypropylen Syringe None 2 mg/ml 4°C Protect from light
30 Day
533
Level of evidence A+

Polypropylen Syringe None 5 mg/ml 23-27°C Not specified
7 Day
4358
Level of evidence C+

Polypropylen Syringe None 5 mg/ml 4-6°C Not specified
7 Day
4358
Level of evidence C+


  Mentions Légales