Ultimo aggiornamento :
27/04/2026
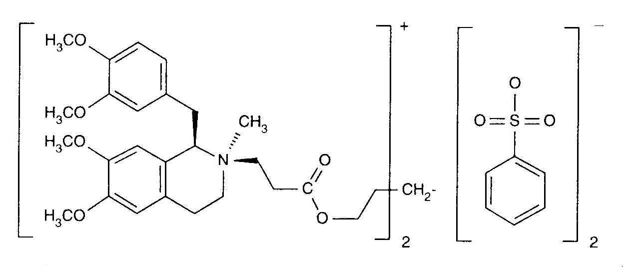
Curarizzante   Cisatracurium besylate  
Iniezione
Stabilità in soluzione Stabilità in miscela Fattori che influenzano la stabilità Compatibilità metodo di iniezione Bibliografia pdf
   Struttura chimica  

Nome commerciale   Nome commerciale     

Trade names are indicative and excipients composition can be different depending on the country and manufacturers

Bensitrak Messico
Besilato de cisatracurio
Cicuryl Messico
Cirium Colombia
Cis Atracure
Cisatracurio Brasile, Chile, Colombia, Ecuador, Italia, Perù, Spagna
Cisatracurium Belgio, Canada, Finlandia, Francia, Germania, Gran Bretagna, Irlanda, Tunisia, Ungheria
Nimbex Arabia Saudita, Austria, Belgio, Canada, Chile, Danimarca, Ecuador, Egitto, Emirati Arabi Uniti, Finlandia, Francia, Germania, Gran Bretagna, Grecia, Iran, Irlanda, Italia, Lussemburgo, Malaysia, Messico, Norvegia, Paesi Bassi, Perù, Polonia, Portogallo, Slovenia, Spagna, Stati Uniti d’America, Svezia, Tunisia, Turchia, Ungheria, Venezuela
Nimbium Brasile, Colombia
Stabilità in soluzione   Iniezione   Stabilità in soluzione : Cisatracurium besylate     
contenitore Solvente Concentrazione Temperatura Conservazione Durata della stabilità Bibliografia
Vetro Nessuno 10 mg/ml 2-8°C Al riparo dalla luce
450 Giorno
4769
Livello di evidenza A+

Vetro Nessuno 2 & 10 mg/ml 23°C Con o senza luce
45 Giorno
533
Livello di evidenza A+

Vetro Nessuno 2 & 10 mg/ml 4°C Al riparo dalla luce
90 Giorno
533
Livello di evidenza A+

Cloruro di polivinile Cloruro di sodio 0,9% 0,1 & 2 & 5 mg/ml 4°C Al riparo dalla luce
30 Giorno
533
Livello di evidenza A+

Cloruro di polivinile Cloruro di sodio 0,9% 5 mg/ml 23°C Con o senza luce
30 Giorno
533
Livello di evidenza A+

Cloruro di polivinile Glucosio 5% 0,1 & 2 & 5 mg/ml 4°C Al riparo dalla luce
30 Giorno
533
Livello di evidenza A+

Cloruro di polivinile Glucosio 5% 5 mg/ml 23°C Con o senza luce
30 Giorno
533
Livello di evidenza A+

Poliolefina Cloruro di sodio 0,9% 0,1 mg/ml 23-27°C Non precisata
48 Ora
4358
Livello di evidenza C+

Poliolefina Cloruro di sodio 0,9% 0,1 mg/ml 4-6°C Non precisata
7 Giorno
4358
Livello di evidenza C+

Poliolefina Glucosio 5% 0,1 mg/ml 23-27°C Non precisata
24 Ora
4358
Livello di evidenza C+

Poliolefina Glucosio 5% 0,1 mg/ml 4-6°C Non precisata
7 Giorno
4358
Livello di evidenza C+

siringa polipropilene Cloruro di sodio 0,9% 0,1 mg/ml 23-27°C Non precisata
2 Giorno
4358
Livello di evidenza C+

siringa polipropilene Cloruro di sodio 0,9% 0,1 mg/ml 4-6°C Non precisata
7 Giorno
4358
Livello di evidenza C+

siringa polipropilene Glucosio 5% 0,1 mg/ml 23-27°C Non precisata
2 Giorno
4358
Livello di evidenza C+

siringa polipropilene Glucosio 5% 0,1 mg/ml 4-6°C Non precisata
2 Giorno
4358
Livello di evidenza C+

siringa polipropilene Nessuno 2 mg/ml 23-27°C Non precisata
7 Giorno
4358
Livello di evidenza C+

siringa polipropilene Nessuno 2 mg/ml 23°C Con o senza luce
30 Giorno
533
Livello di evidenza A+

siringa polipropilene Nessuno 2 mg/ml 4-6°C Non precisata
7 Giorno
4358
Livello di evidenza C+

siringa polipropilene Nessuno 2 mg/ml 4°C Al riparo dalla luce
30 Giorno
533
Livello di evidenza A+

siringa polipropilene Nessuno 5 mg/ml 23-27°C Non precisata
7 Giorno
4358
Livello di evidenza C+

siringa polipropilene Nessuno 5 mg/ml 4-6°C Non precisata
7 Giorno
4358
Livello di evidenza C+


  Mentions Légales