Poslední aktualizace :
27/04/2026
Kuraremimetický   Cisatracurium besylate  
injekce
Stabilita roztoků Stabilita směsí Faktory ovlivňující stabilitu Kompatibilita Způsoby aplikace Odkazy pdf
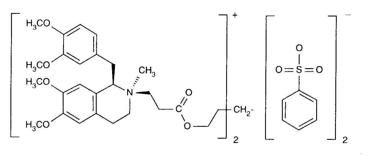
   Chemický vzorec  

Obchodní název   Obchodní název     

Trade names are indicative and excipients composition can be different depending on the country and manufacturers

Bensitrak Mexiko
Besilato de cisatracurio
Cicuryl Mexiko
Cirium Kolumbie
Cis Atracure
Cisatracurio äpanÏlsko, BrazÌlie, Chile, Ekvádor, Itálie, Kolumbie, Peru
Cisatracurium Belgie, Finsko, Francie, Irsko, Kanada, MaÔarsko, NÏmecko, Tunisko, Velká Británie
Nimbex äpanÏlsko, Belgie, Chile, Dánsko, Egypt, Ekvádor, Finsko, Francie, Írán, Irsko, Itálie, Kanada, Lucembursko, Malajsie, MaÔarsko, Mexiko, NÏmecko, Nizozemsko, Norsko, Peru, Polsko, Portugalsko, Rakousko, Saúdská Arábie, Slovinsko, Spojené arabské emiráty, Švédsko, Tunisko, Turecko, USA, Velká Británie, Venezuela, ÿecko
Nimbium BrazÌlie, Kolumbie
Stabilita roztoků   injekce   Stabilita roztoků : Cisatracurium besylate     
Obal RozpouötÏdlo Koncentrace Teplota Uchovávání Trvání stability Odkazy
Sklo Žádné 10 mg/ml 2-8°C Chráněno před světlem
450 Den
4769
Úroveň zkoušky A+

Sklo Žádné 2 & 10 mg/ml 23°C S nebo bez svÏtla
45 Den
533
Úroveň zkoušky A+

Sklo Žádné 2 & 10 mg/ml 4°C Chráněno před světlem
90 Den
533
Úroveň zkoušky A+

Polyvinyl chlorid Chlorid sodný 0,9% 0,1 & 2 & 5 mg/ml 4°C Chráněno před světlem
30 Den
533
Úroveň zkoušky A+

Polyvinyl chlorid Chlorid sodný 0,9% 5 mg/ml 23°C S nebo bez svÏtla
30 Den
533
Úroveň zkoušky A+

Polyvinyl chlorid GlukÛza 5% 0,1 & 2 & 5 mg/ml 4°C Chráněno před světlem
30 Den
533
Úroveň zkoušky A+

Polyvinyl chlorid GlukÛza 5% 5 mg/ml 23°C S nebo bez svÏtla
30 Den
533
Úroveň zkoušky A+

Polyoleofin Chlorid sodný 0,9% 0,1 mg/ml 23-27°C Nespecifikováno
48 Hodina
4358
Úroveň zkoušky C+

Polyoleofin Chlorid sodný 0,9% 0,1 mg/ml 4-6°C Nespecifikováno
7 Den
4358
Úroveň zkoušky C+

Polyoleofin GlukÛza 5% 0,1 mg/ml 23-27°C Nespecifikováno
24 Hodina
4358
Úroveň zkoušky C+

Polyoleofin GlukÛza 5% 0,1 mg/ml 4-6°C Nespecifikováno
7 Den
4358
Úroveň zkoušky C+

stříkačka polypropylen Chlorid sodný 0,9% 0,1 mg/ml 23-27°C Nespecifikováno
2 Den
4358
Úroveň zkoušky C+

stříkačka polypropylen Chlorid sodný 0,9% 0,1 mg/ml 4-6°C Nespecifikováno
7 Den
4358
Úroveň zkoušky C+

stříkačka polypropylen GlukÛza 5% 0,1 mg/ml 23-27°C Nespecifikováno
2 Den
4358
Úroveň zkoušky C+

stříkačka polypropylen GlukÛza 5% 0,1 mg/ml 4-6°C Nespecifikováno
2 Den
4358
Úroveň zkoušky C+

stříkačka polypropylen Žádné 2 mg/ml 23-27°C Nespecifikováno
7 Den
4358
Úroveň zkoušky C+

stříkačka polypropylen Žádné 2 mg/ml 23°C S nebo bez svÏtla
30 Den
533
Úroveň zkoušky A+

stříkačka polypropylen Žádné 2 mg/ml 4-6°C Nespecifikováno
7 Den
4358
Úroveň zkoušky C+

stříkačka polypropylen Žádné 2 mg/ml 4°C Chráněno před světlem
30 Den
533
Úroveň zkoušky A+

stříkačka polypropylen Žádné 5 mg/ml 23-27°C Nespecifikováno
7 Den
4358
Úroveň zkoušky C+

stříkačka polypropylen Žádné 5 mg/ml 4-6°C Nespecifikováno
7 Den
4358
Úroveň zkoušky C+


  Mentions Légales