Останнє оновлення :
27/04/2026
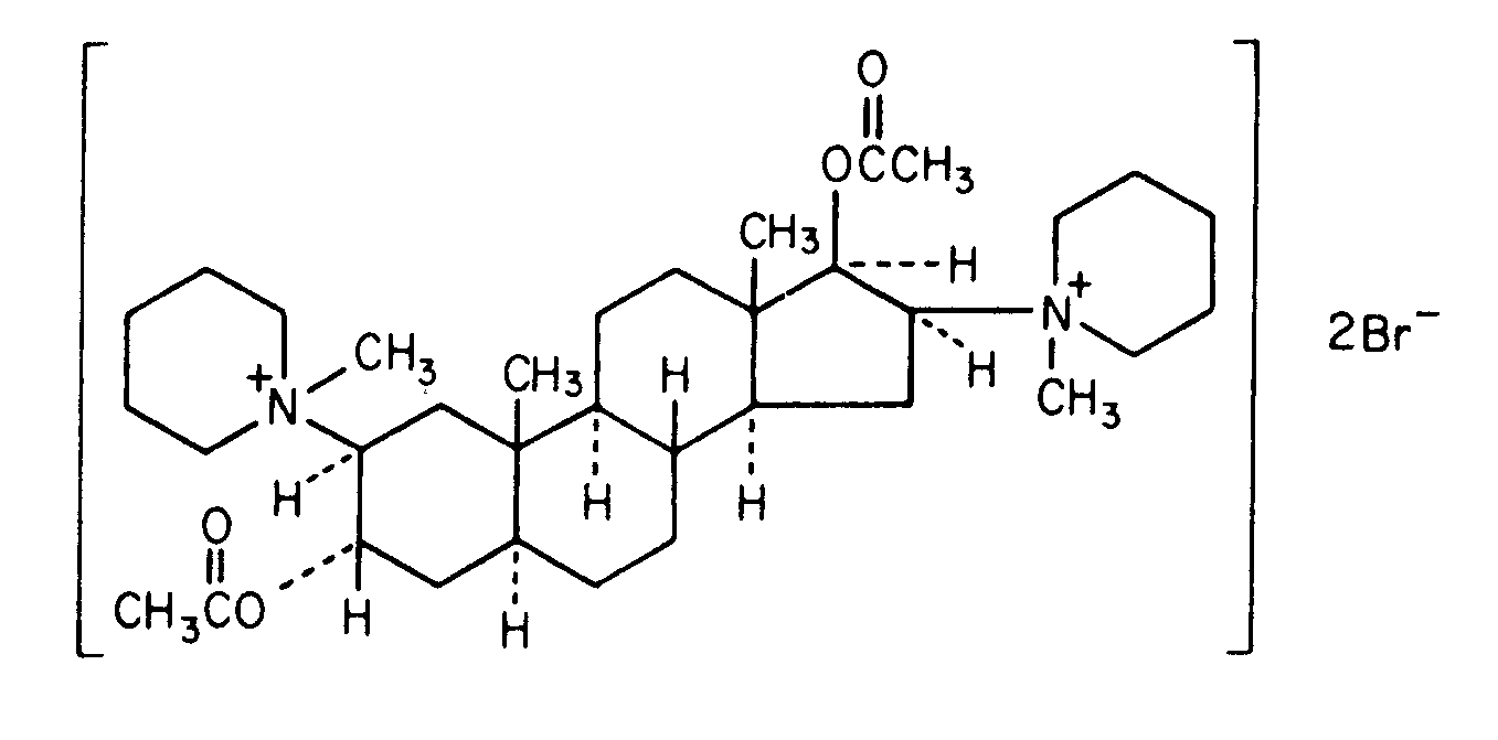
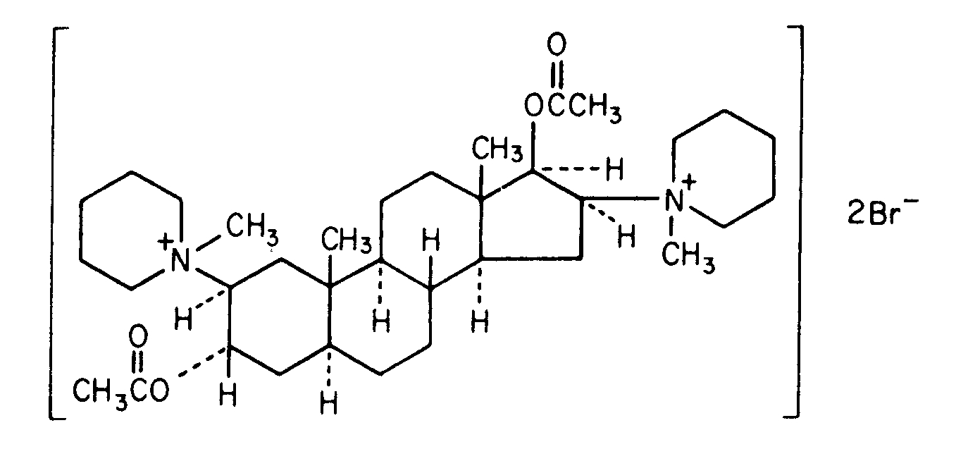
Курариміметик   Pancuronium bromide  
ін'єкція
Стійкість в розчинах Стійкість сумішей Фактори, що впливають на стабільність Сумісність Шлях введення Список літератури pdf
   Хімічна структура  

Торгова назва   Торгова назва     

Торгові назви є орієнтовними, а склад допоміжних речовин може бути різним залежно від країни та виробника

Pancuronium bromide injection Єгипет, Іран, Ірландія, Великобританія, Канада, Німеччина, Нова Зеландія, Об'єднані Арабські Емірати, Польща, Сполучені Штати Америки, Франція
Стійкість в розчинах   ін'єкція   Стійкість в розчинах : Pancuronium bromide     
Контейнер Розчинник Концентрація температура Зберігання Тривалість стабільності Список літератури
скло специфічний розчинник 2 mg/ml 2-8°C Не визначено
912 День
4773
Рівень доказовості B+


  Mentions Légales