Poslední aktualizace :
27/04/2026
Kurarimimetikas   Pancuronium bromide  
Įpurškimas
Tirpalų stabilumas Mišinių stabilumas Stabilumą lemiantys veiksniai Suderinamumas Leidimo būdai Bibliografija pdf
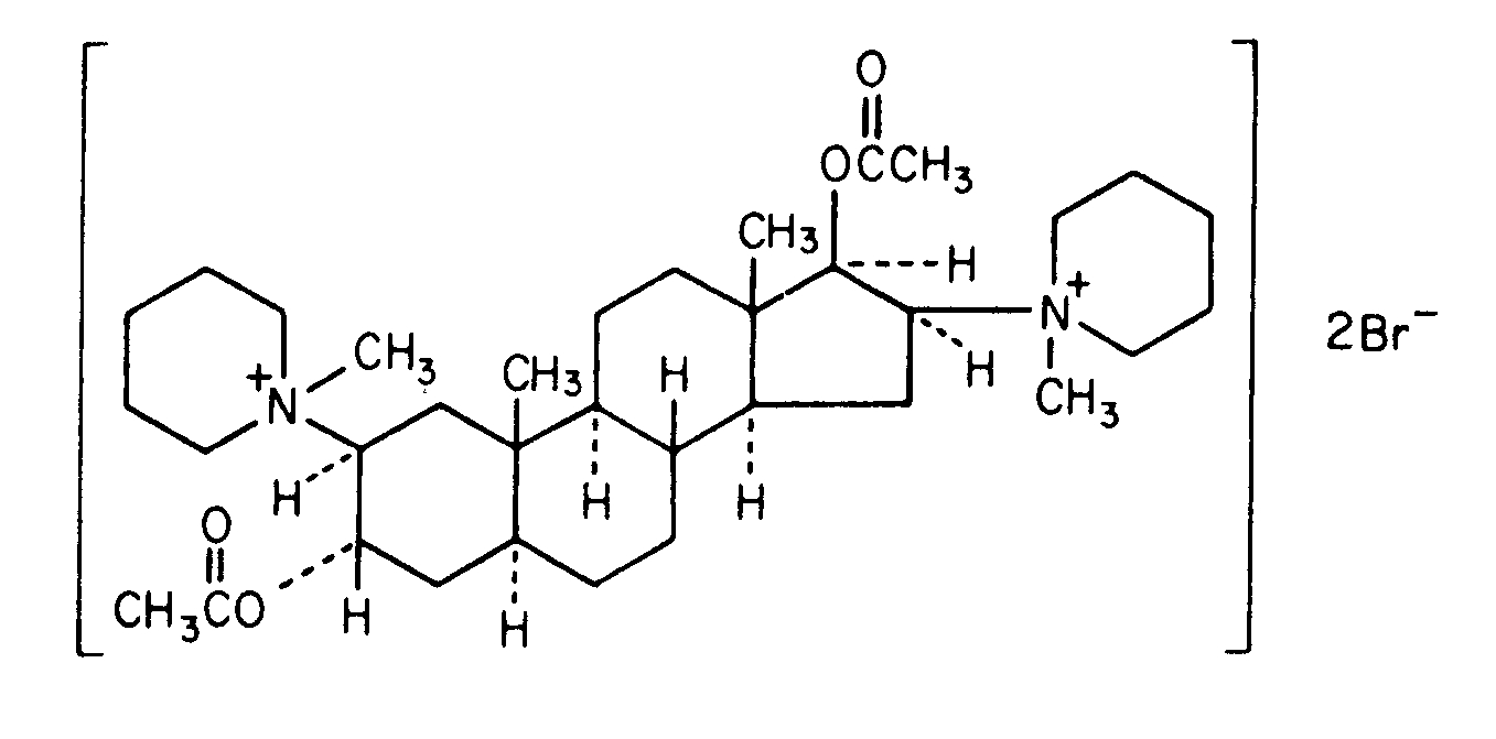
   Cheminė sandara  

Prekinis pavadinimas   Prekinis pavadinimas     

Trade names are indicative and excipients composition can be different depending on the country and manufacturers

Pancuronium bromide injection Airija, Didžioji Britanija, Egiptas, Iranas, Jungtinės Amerikos Valstijos, Jungtiniai Arabų Emyratai, Kanada, Lenkija, Naujojoje Zelandijoje, Prancūzija, Vokietija
Tirpalų stabilumas   Įpurškimas   Tirpalų stabilumas : Pancuronium bromide     
Pakuotė Tirpiklis Koncentracija Temperatūra Laikymas Stabilumo trukmė Nuorodos
Stiklas specifinis tirpiklis 2 mg/ml 2-8°C Nenurodyta
912 Diena
4773
Bandymo lygis B+


  Mentions Légales