Seneste opdatering :
27/04/2026
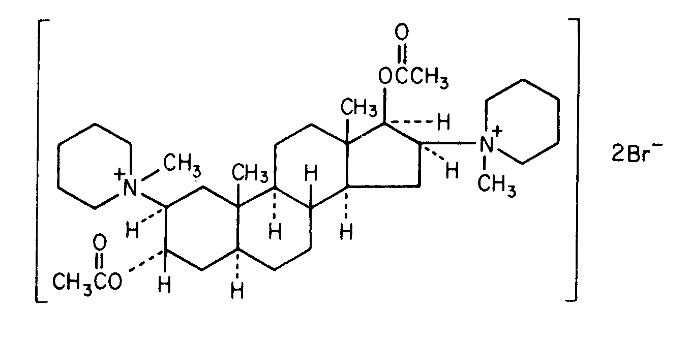
Curamimetisk   Pancuronium bromide  
Injektion
Stabilitet i (vandige) opløsninger Stabilitet i blandinger Faktorer der påvirker stabiliteten Kompatibilitet Administrationsvej Bibliografi pdf
   Kemisk struktur  

Handelsnavn   Handelsnavn     

Handel navne er vejledende og hjælpestoffer sammensætning kan være forskellig afhængigt af landet og laboratorier

Pancuronium bromide injection Canada, Forenede Arabiske Emirater, Frankrig, Iran, Irland, New Zealand, Polen, Storbritanien, Tyskland, USA, Ægypten
Stabilitet i (vandige) opløsninger   Injektion   Stabilitet i (vandige) opløsninger : Pancuronium bromide     
Beholder Opløsningsmiddel Koncentration Temperatur Konservering Varighed af stabilitet Bibliografi
Glas specifikt opløsningsmiddel 2 mg/ml 2-8°C Ikke nærmere angivet
912 Dag
4773
Level af bevismateriale B+


  Mentions Légales