最新更新 :
27/04/2026
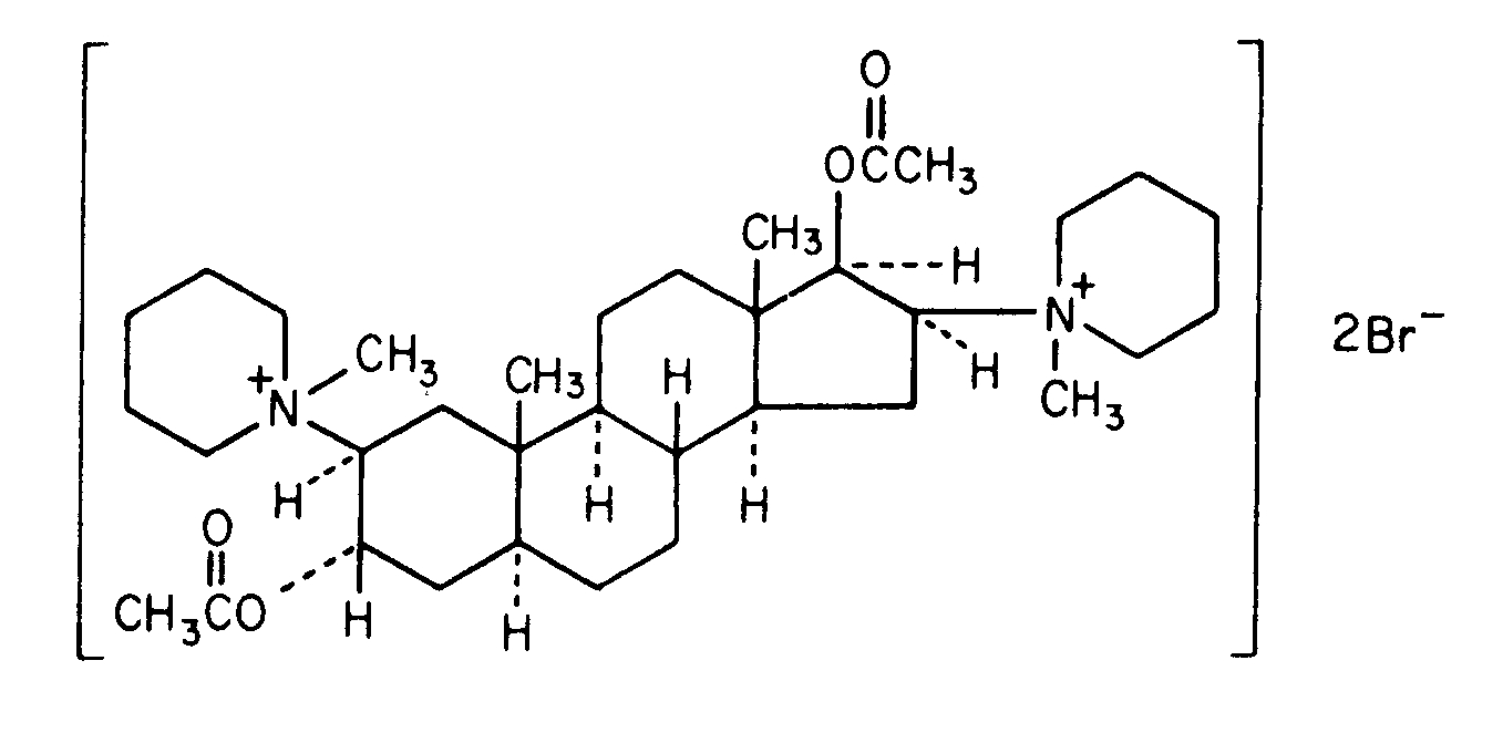
仿箭毒药   Pancuronium bromide  
注射液
溶液稳定性 混合物稳定性 影响稳定性的因素 兼容性 用药途径 引用文献 PDF
   化学式  

商品名   商品名     

商品名仅供参考, 药品所用的辅料可能依国家或厂商不同有所不同。

Pancuronium bromide injection 伊朗, 加拿大, 埃及, 德国, 新西蘭, 法国, 波兰, 爱尔兰, 美国, 英国, 阿联酋
溶液稳定性   注射液   溶液稳定性 : Pancuronium bromide     
容器 溶剂 浓度 温度 保存 穩定持續時間 引用文献
玻璃 特定溶液 2 mg/ml 2-8°C 无特殊要求
912 白天
4773
B+级


  Mentions Légales