最新更新 :
27/04/2026
クラーレ様薬   Pancuronium bromide  
注射薬
溶媒内の安定性 混合時の安定性 安定性に影響する因子 互換性 投与経路 引用文献 PDF
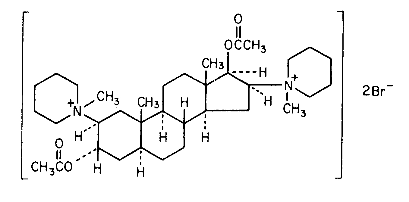
   化学構造  

商品名   商品名     

商品名、賦形剤は国、製薬会社ごとに異なることがあります

Pancuronium bromide injection アイルランド, アメリカ, アラブ首長国連邦, イギリス, イラン, エジプト, カナダ, ドイツ, ニュージーランド, フランス, ポーランド
溶媒内の安定性   注射薬   溶媒内の安定性 : Pancuronium bromide     
容器 溶媒 濃度 温度 保管 安定期間 引用文献
ガラス 特定の溶媒 2 mg/ml 2-8°C 特記なし
912 日
4773
エビデンスレベル B+


  Mentions Légales