Ultimele actualizari :
18/03/2026
Citostatic   Etoposide phosphate  
Injectabil
Stabilitatea in solutie Stabilitatea in amestec Factorii care influenteaza stabilitatea Compatibilitate Microunde Bibliografie pdf
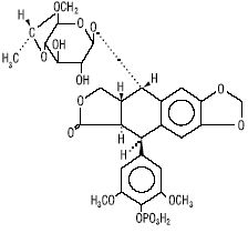
   Formula chimica  

Denumirea comerciala   Denumirea comerciala     

Trade names are indicative and excipients composition can be different depending on the country and manufacturers

Etopofos Austria, Grecia, Suedia
Etopophos Belgia, Bulgaria, Elvetia, Franta, Germania, Israel, Luxemburg, Marea Britanie, noua Zeelandă, Olanda, Polonia, SUA
Stabilitatea in solutie   Injectabil   Stabilitatea in solutie : Etoposide phosphate     
Continut Solvent Concentratie Temperatura Conservare Durata stabilității Bibiografie
sticla apa pentru preparate injectabile 10 & 20 mg/ml 2-8°C Ferit de lumina
7 Ziua
3655
Documentele de stabilitate ale producătorului

sticla apa pentru preparate injectabile 10 & 20 mg/ml 25°C Lumina
96 Ora
3655
Documentele de stabilitate ale producătorului

sticla apa pentru preparate injectabile 10 & 20 mg/ml 37°C Lumina
48 Ora
3655
Documentele de stabilitate ale producătorului

sticla clorura de sodiu 0,9% > 0,1 mg/ml 2-8°C Ferit de lumina
7 Ziua
3655
Documentele de stabilitate ale producătorului

sticla clorura de sodiu 0,9% > 0,1 mg/ml 25°C Lumina
96 Ora
3655
Documentele de stabilitate ale producătorului

sticla clorura de sodiu 0,9% > 0,1 mg/ml 37°C Lumina
48 Ora
3655
Documentele de stabilitate ale producătorului

sticla clorura de sodiu 0,9% 10 & 20 mg/ml 2-8°C Ferit de lumina
7 Ziua
3655
Documentele de stabilitate ale producătorului

sticla clorura de sodiu 0,9% 10 & 20 mg/ml 25°C Lumina
96 Ora
3655
Documentele de stabilitate ale producătorului

sticla clorura de sodiu 0,9% 10 & 20 mg/ml 37°C Lumina
48 Ora
3655
Documentele de stabilitate ale producătorului

sticla Glucoza 5% > 0,1 mg/ml 2-8°C Ferit de lumina
7 Ziua
3655
Documentele de stabilitate ale producătorului

sticla Glucoza 5% > 0,1 mg/ml 25°C Lumina
96 Ora
3655
Documentele de stabilitate ale producătorului

sticla Glucoza 5% > 0,1 mg/ml 37°C Lumina
48 Ora
3655
Documentele de stabilitate ale producătorului

sticla Glucoza 5% 10 & 20 mg/ml 2-8°C Ferit de lumina
7 Ziua
3655
Documentele de stabilitate ale producătorului

sticla Glucoza 5% 10 & 20 mg/ml 25°C Lumina
96 Ora
3655
Documentele de stabilitate ale producătorului

sticla Glucoza 5% 10 & 20 mg/ml 37°C Lumina
48 Ora
3655
Documentele de stabilitate ale producătorului

clorura de polivinil clorura de sodiu 0,9% > 0,1 mg/ml 2-8°C Ferit de lumina
7 Ziua
3655
Documentele de stabilitate ale producătorului

clorura de polivinil clorura de sodiu 0,9% > 0,1 mg/ml 25°C Lumina
96 Ora
3655
Documentele de stabilitate ale producătorului

clorura de polivinil clorura de sodiu 0,9% > 0,1 mg/ml 37°C Lumina
48 Ora
3655
Documentele de stabilitate ale producătorului

clorura de polivinil clorura de sodiu 0,9% 0,1 & 10 mg/ml 23°C Neprecizat
31 Ziua
1411
Nivel de evidență B+

clorura de polivinil clorura de sodiu 0,9% 0,1 & 10 mg/ml 32°C Neprecizat
7 Ziua
1411
Nivel de evidență B+

clorura de polivinil clorura de sodiu 0,9% 0,1 & 10 mg/ml 4°C Ferit de lumina
31 Ziua
1411
Nivel de evidență B+

clorura de polivinil Glucoza 5% > 0,1 mg/ml 2-8°C Ferit de lumina
7 Ziua
3655
Documentele de stabilitate ale producătorului

clorura de polivinil Glucoza 5% > 0,1 mg/ml 25°C Lumina
96 Ora
3655
Documentele de stabilitate ale producătorului

clorura de polivinil Glucoza 5% > 0,1 mg/ml 37°C Lumina
48 Ora
3655
Documentele de stabilitate ale producătorului

clorura de polivinil Glucoza 5% 0,1 & 10 mg/ml 23°C Neprecizat
31 Ziua
1411
Nivel de evidență B+

clorura de polivinil Glucoza 5% 0,1 & 10 mg/ml 32°C Neprecizat
7 Ziua
1411
Nivel de evidență B+

clorura de polivinil Glucoza 5% 0,1 & 10 mg/ml 4°C Ferit de lumina
31 Ziua
1411
Nivel de evidență B+

poliolefine clorura de sodiu 0,9% > 0,1 mg/ml 2-8°C Ferit de lumina
7 Ziua
3655
Documentele de stabilitate ale producătorului

poliolefine clorura de sodiu 0,9% > 0,1 mg/ml 25°C Lumina
96 Ora
3655
Documentele de stabilitate ale producătorului

poliolefine clorura de sodiu 0,9% > 0,1 mg/ml 37°C Lumina
48 Ora
3655
Documentele de stabilitate ale producătorului

poliolefine Glucoza 5% > 0,1 mg/ml 2-8°C Ferit de lumina
7 Ziua
3655
Documentele de stabilitate ale producătorului

poliolefine Glucoza 5% > 0,1 mg/ml 25°C Lumina
96 Ora
3655
Documentele de stabilitate ale producătorului

poliolefine Glucoza 5% > 0,1 mg/ml 37°C Lumina
48 Ora
3655
Documentele de stabilitate ale producătorului

seringă polipropileno apa ppi+ agent antibacterian 10 & 20 mg/ml 23°C Neprecizat
31 Ziua
1411
Nivel de evidență B+

seringă polipropileno apa ppi+ agent antibacterian 10 & 20 mg/ml 32°C Neprecizat
7 Ziua
1411
Nivel de evidență B+

seringă polipropileno apa ppi+ agent antibacterian 10 & 20 mg/ml 4°C Ferit de lumina
31 Ziua
1411
Nivel de evidență B+


  Mentions Légales