آخر تحديث :
27/01/2026
المضادة للسرطان المخدرات   Etoposide phosphate  
حقن
الاستقرار في حلول استقرار مخاليط العوامل التي تؤثر على الاستقرار التوافق طريقة التعاطي مراجع pdf
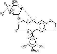
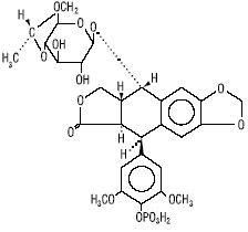
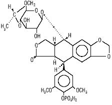
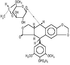
   التركيب الكيميائي  

حجز الاسم التجاري   حجز الاسم التجاري     

تحذير الأسماء التجاريه المختلفه قد تحتوي علي محتوي إضافات مختلفة حسب الدوله و المعمل

Etopofos السويد, النمسا, يونان
Etopophos ألمانيا, الكيان الصهيوني, الولايات المتحدة, بريطانيا العظمي, بلجيكا, بلغاريا, بولندا, زيلاندا الجديدة, سويسرا, فرنسا, لوكسمبورغ, هولندا
الاستقرار في حلول   حقن   الاستقرار في حلول : Etoposide phosphate     
حاوية مذيب تركيز درجة الحرارة تخزين مدة الاستقرار مراجع
زجاج حقن المياه لل 10 & 20 mg/ml 2-8°C بعيدا عن الضوء
7 يوم
3655
بيانات الشركة المصنعة \\ \'ق الاستقرار

زجاج حقن المياه لل 10 & 20 mg/ml 25°C ضوء
96 ساعة
3655
بيانات الشركة المصنعة \\ \'ق الاستقرار

زجاج حقن المياه لل 10 & 20 mg/ml 37°C ضوء
48 ساعة
3655
بيانات الشركة المصنعة \\ \'ق الاستقرار

زجاج كلوريد الصوديوم 0.9% > 0,1 mg/ml 2-8°C بعيدا عن الضوء
7 يوم
3655
بيانات الشركة المصنعة \\ \'ق الاستقرار

زجاج كلوريد الصوديوم 0.9% > 0,1 mg/ml 25°C ضوء
96 ساعة
3655
بيانات الشركة المصنعة \\ \'ق الاستقرار

زجاج كلوريد الصوديوم 0.9% > 0,1 mg/ml 37°C ضوء
48 ساعة
3655
بيانات الشركة المصنعة \\ \'ق الاستقرار

زجاج كلوريد الصوديوم 0.9% 10 & 20 mg/ml 2-8°C بعيدا عن الضوء
7 يوم
3655
بيانات الشركة المصنعة \\ \'ق الاستقرار

زجاج كلوريد الصوديوم 0.9% 10 & 20 mg/ml 25°C ضوء
96 ساعة
3655
بيانات الشركة المصنعة \\ \'ق الاستقرار

زجاج كلوريد الصوديوم 0.9% 10 & 20 mg/ml 37°C ضوء
48 ساعة
3655
بيانات الشركة المصنعة \\ \'ق الاستقرار

زجاج الجلوكوز %5 > 0,1 mg/ml 2-8°C بعيدا عن الضوء
7 يوم
3655
بيانات الشركة المصنعة \\ \'ق الاستقرار

زجاج الجلوكوز %5 > 0,1 mg/ml 25°C ضوء
96 ساعة
3655
بيانات الشركة المصنعة \\ \'ق الاستقرار

زجاج الجلوكوز %5 > 0,1 mg/ml 37°C ضوء
48 ساعة
3655
بيانات الشركة المصنعة \\ \'ق الاستقرار

زجاج الجلوكوز %5 10 & 20 mg/ml 2-8°C بعيدا عن الضوء
7 يوم
3655
بيانات الشركة المصنعة \\ \'ق الاستقرار

زجاج الجلوكوز %5 10 & 20 mg/ml 25°C ضوء
96 ساعة
3655
بيانات الشركة المصنعة \\ \'ق الاستقرار

زجاج الجلوكوز %5 10 & 20 mg/ml 37°C ضوء
48 ساعة
3655
بيانات الشركة المصنعة \\ \'ق الاستقرار

البولي فينيل كلوريد كلوريد الصوديوم 0.9% > 0,1 mg/ml 2-8°C بعيدا عن الضوء
7 يوم
3655
بيانات الشركة المصنعة \\ \'ق الاستقرار

البولي فينيل كلوريد كلوريد الصوديوم 0.9% > 0,1 mg/ml 25°C ضوء
96 ساعة
3655
بيانات الشركة المصنعة \\ \'ق الاستقرار

البولي فينيل كلوريد كلوريد الصوديوم 0.9% > 0,1 mg/ml 37°C ضوء
48 ساعة
3655
بيانات الشركة المصنعة \\ \'ق الاستقرار

البولي فينيل كلوريد كلوريد الصوديوم 0.9% 0,1 & 10 mg/ml 23°C لم يتم تحديد
31 يوم
1411
B+ مستوى الأدلة

البولي فينيل كلوريد كلوريد الصوديوم 0.9% 0,1 & 10 mg/ml 32°C لم يتم تحديد
7 يوم
1411
B+ مستوى الأدلة

البولي فينيل كلوريد كلوريد الصوديوم 0.9% 0,1 & 10 mg/ml 4°C بعيدا عن الضوء
31 يوم
1411
B+ مستوى الأدلة

البولي فينيل كلوريد الجلوكوز %5 > 0,1 mg/ml 2-8°C بعيدا عن الضوء
7 يوم
3655
بيانات الشركة المصنعة \\ \'ق الاستقرار

البولي فينيل كلوريد الجلوكوز %5 > 0,1 mg/ml 25°C ضوء
96 ساعة
3655
بيانات الشركة المصنعة \\ \'ق الاستقرار

البولي فينيل كلوريد الجلوكوز %5 > 0,1 mg/ml 37°C ضوء
48 ساعة
3655
بيانات الشركة المصنعة \\ \'ق الاستقرار

البولي فينيل كلوريد الجلوكوز %5 0,1 & 10 mg/ml 23°C لم يتم تحديد
31 يوم
1411
B+ مستوى الأدلة

البولي فينيل كلوريد الجلوكوز %5 0,1 & 10 mg/ml 32°C لم يتم تحديد
7 يوم
1411
B+ مستوى الأدلة

البولي فينيل كلوريد الجلوكوز %5 0,1 & 10 mg/ml 4°C بعيدا عن الضوء
31 يوم
1411
B+ مستوى الأدلة

البولي فين كلوريد الصوديوم 0.9% > 0,1 mg/ml 2-8°C بعيدا عن الضوء
7 يوم
3655
بيانات الشركة المصنعة \\ \'ق الاستقرار

البولي فين كلوريد الصوديوم 0.9% > 0,1 mg/ml 25°C ضوء
96 ساعة
3655
بيانات الشركة المصنعة \\ \'ق الاستقرار

البولي فين كلوريد الصوديوم 0.9% > 0,1 mg/ml 37°C ضوء
48 ساعة
3655
بيانات الشركة المصنعة \\ \'ق الاستقرار

البولي فين الجلوكوز %5 > 0,1 mg/ml 2-8°C بعيدا عن الضوء
7 يوم
3655
بيانات الشركة المصنعة \\ \'ق الاستقرار

البولي فين الجلوكوز %5 > 0,1 mg/ml 25°C ضوء
96 ساعة
3655
بيانات الشركة المصنعة \\ \'ق الاستقرار

البولي فين الجلوكوز %5 > 0,1 mg/ml 37°C ضوء
48 ساعة
3655
بيانات الشركة المصنعة \\ \'ق الاستقرار

محقنة البولي بروبلين المياه للحقن + مضاد للجراثيم 10 & 20 mg/ml 23°C لم يتم تحديد
31 يوم
1411
B+ مستوى الأدلة

محقنة البولي بروبلين المياه للحقن + مضاد للجراثيم 10 & 20 mg/ml 32°C لم يتم تحديد
7 يوم
1411
B+ مستوى الأدلة

محقنة البولي بروبلين المياه للحقن + مضاد للجراثيم 10 & 20 mg/ml 4°C بعيدا عن الضوء
31 يوم
1411
B+ مستوى الأدلة


  Mentions Légales