最新更新 :
27/01/2026
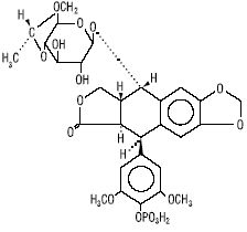
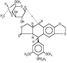
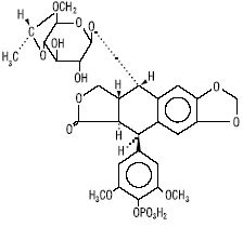
抗癌藥物   Etoposide phosphate  
注射液
溶液稳定性 混合物稳定性 影响稳定性的因素 兼容性 用药途径 引用文献 PDF
   化学式  

商品名   商品名     

商品名仅供参考, 药品所用的辅料可能依国家或厂商不同有所不同。

Etopofos 奥地利, 希腊, 瑞典
Etopophos 以色列, 保加利亚, 卢森堡, 德国, 新西蘭, 比利时, 法国, 波兰, 瑞士, 美国, 英国, 荷兰
溶液稳定性   注射液   溶液稳定性 : Etoposide phosphate     
容器 溶剂 浓度 温度 保存 穩定持續時間 引用文献
玻璃 注射用水 10 & 20 mg/ml 2-8°C 避光
7 白天
3655
生产厂家提供的稳定性数据

玻璃 注射用水 10 & 20 mg/ml 25°C 光
96 小时
3655
生产厂家提供的稳定性数据

玻璃 注射用水 10 & 20 mg/ml 37°C 光
48 小时
3655
生产厂家提供的稳定性数据

玻璃 NaCl 0,9% > 0,1 mg/ml 2-8°C 避光
7 白天
3655
生产厂家提供的稳定性数据

玻璃 NaCl 0,9% > 0,1 mg/ml 25°C 光
96 小时
3655
生产厂家提供的稳定性数据

玻璃 NaCl 0,9% > 0,1 mg/ml 37°C 光
48 小时
3655
生产厂家提供的稳定性数据

玻璃 NaCl 0,9% 10 & 20 mg/ml 2-8°C 避光
7 白天
3655
生产厂家提供的稳定性数据

玻璃 NaCl 0,9% 10 & 20 mg/ml 25°C 光
96 小时
3655
生产厂家提供的稳定性数据

玻璃 NaCl 0,9% 10 & 20 mg/ml 37°C 光
48 小时
3655
生产厂家提供的稳定性数据

玻璃 葡萄糖5% > 0,1 mg/ml 2-8°C 避光
7 白天
3655
生产厂家提供的稳定性数据

玻璃 葡萄糖5% > 0,1 mg/ml 25°C 光
96 小时
3655
生产厂家提供的稳定性数据

玻璃 葡萄糖5% > 0,1 mg/ml 37°C 光
48 小时
3655
生产厂家提供的稳定性数据

玻璃 葡萄糖5% 10 & 20 mg/ml 2-8°C 避光
7 白天
3655
生产厂家提供的稳定性数据

玻璃 葡萄糖5% 10 & 20 mg/ml 25°C 光
96 小时
3655
生产厂家提供的稳定性数据

玻璃 葡萄糖5% 10 & 20 mg/ml 37°C 光
48 小时
3655
生产厂家提供的稳定性数据

聚氯乙烯 NaCl 0,9% > 0,1 mg/ml 2-8°C 避光
7 白天
3655
生产厂家提供的稳定性数据

聚氯乙烯 NaCl 0,9% > 0,1 mg/ml 25°C 光
96 小时
3655
生产厂家提供的稳定性数据

聚氯乙烯 NaCl 0,9% > 0,1 mg/ml 37°C 光
48 小时
3655
生产厂家提供的稳定性数据

聚氯乙烯 NaCl 0,9% 0,1 & 10 mg/ml 23°C 无特殊要求
31 白天
1411
B+级

聚氯乙烯 NaCl 0,9% 0,1 & 10 mg/ml 32°C 无特殊要求
7 白天
1411
B+级

聚氯乙烯 NaCl 0,9% 0,1 & 10 mg/ml 4°C 避光
31 白天
1411
B+级

聚氯乙烯 葡萄糖5% > 0,1 mg/ml 2-8°C 避光
7 白天
3655
生产厂家提供的稳定性数据

聚氯乙烯 葡萄糖5% > 0,1 mg/ml 25°C 光
96 小时
3655
生产厂家提供的稳定性数据

聚氯乙烯 葡萄糖5% > 0,1 mg/ml 37°C 光
48 小时
3655
生产厂家提供的稳定性数据

聚氯乙烯 葡萄糖5% 0,1 & 10 mg/ml 23°C 无特殊要求
31 白天
1411
B+级

聚氯乙烯 葡萄糖5% 0,1 & 10 mg/ml 32°C 无特殊要求
7 白天
1411
B+级

聚氯乙烯 葡萄糖5% 0,1 & 10 mg/ml 4°C 避光
31 白天
1411
B+级

聚烯烃 NaCl 0,9% > 0,1 mg/ml 2-8°C 避光
7 白天
3655
生产厂家提供的稳定性数据

聚烯烃 NaCl 0,9% > 0,1 mg/ml 25°C 光
96 小时
3655
生产厂家提供的稳定性数据

聚烯烃 NaCl 0,9% > 0,1 mg/ml 37°C 光
48 小时
3655
生产厂家提供的稳定性数据

聚烯烃 葡萄糖5% > 0,1 mg/ml 2-8°C 避光
7 白天
3655
生产厂家提供的稳定性数据

聚烯烃 葡萄糖5% > 0,1 mg/ml 25°C 光
96 小时
3655
生产厂家提供的稳定性数据

聚烯烃 葡萄糖5% > 0,1 mg/ml 37°C 光
48 小时
3655
生产厂家提供的稳定性数据

注射器  聚丙烯 注射用水+抗生素 10 & 20 mg/ml 23°C 无特殊要求
31 白天
1411
B+级

注射器  聚丙烯 注射用水+抗生素 10 & 20 mg/ml 32°C 无特殊要求
7 白天
1411
B+级

注射器  聚丙烯 注射用水+抗生素 10 & 20 mg/ml 4°C 避光
31 白天
1411
B+级


  Mentions Légales