Viimeisin päivitys :
27/01/2026
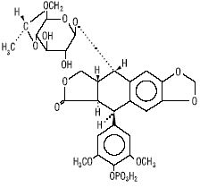
syöpälääke   Etoposide phosphate  
Injektioneste
Stabilius liuoksessa Stabilius seoksissa Tekijät, jotka vaikuttavat stabiliuteen Yhteensopivuus Antotapa Viitteet pdf
   Kemiallinen rakenne  

Kauppanimi   Kauppanimi     

Trade names are indicative and excipients composition can be different depending on the country and manufacturers

Etopofos Itävalta, Kreikka, Ruotsi
Etopophos Belgia, Bulgaria, Hollanti, Iso-Britannia, Israel, Luxemburg, New Zealand, Puola, Ranska, Saksa, Sveitsi, Yhdysvallat
Stabilius liuoksessa   Injektioneste   Stabilius liuoksessa : Etoposide phosphate     
Astia Liuotin Konsentraatio Lämpötila Säilytys Vakauden kesto Viitteet
Lasi Injektionesteisiin käytettävä vesi 10 & 20 mg/ml 2-8°C Suojattava valolta
7 Päivä
3655
Valmistajan antamat stabiiliustiedot

Lasi Injektionesteisiin käytettävä vesi 10 & 20 mg/ml 25°C Valo
96 tunti
3655
Valmistajan antamat stabiiliustiedot

Lasi Injektionesteisiin käytettävä vesi 10 & 20 mg/ml 37°C Valo
48 tunti
3655
Valmistajan antamat stabiiliustiedot

Lasi Natriumkloridi 0,9% > 0,1 mg/ml 2-8°C Suojattava valolta
7 Päivä
3655
Valmistajan antamat stabiiliustiedot

Lasi Natriumkloridi 0,9% > 0,1 mg/ml 25°C Valo
96 tunti
3655
Valmistajan antamat stabiiliustiedot

Lasi Natriumkloridi 0,9% > 0,1 mg/ml 37°C Valo
48 tunti
3655
Valmistajan antamat stabiiliustiedot

Lasi Natriumkloridi 0,9% 10 & 20 mg/ml 2-8°C Suojattava valolta
7 Päivä
3655
Valmistajan antamat stabiiliustiedot

Lasi Natriumkloridi 0,9% 10 & 20 mg/ml 25°C Valo
96 tunti
3655
Valmistajan antamat stabiiliustiedot

Lasi Natriumkloridi 0,9% 10 & 20 mg/ml 37°C Valo
48 tunti
3655
Valmistajan antamat stabiiliustiedot

Lasi Glukoosi 5% > 0,1 mg/ml 2-8°C Suojattava valolta
7 Päivä
3655
Valmistajan antamat stabiiliustiedot

Lasi Glukoosi 5% > 0,1 mg/ml 25°C Valo
96 tunti
3655
Valmistajan antamat stabiiliustiedot

Lasi Glukoosi 5% > 0,1 mg/ml 37°C Valo
48 tunti
3655
Valmistajan antamat stabiiliustiedot

Lasi Glukoosi 5% 10 & 20 mg/ml 2-8°C Suojattava valolta
7 Päivä
3655
Valmistajan antamat stabiiliustiedot

Lasi Glukoosi 5% 10 & 20 mg/ml 25°C Valo
96 tunti
3655
Valmistajan antamat stabiiliustiedot

Lasi Glukoosi 5% 10 & 20 mg/ml 37°C Valo
48 tunti
3655
Valmistajan antamat stabiiliustiedot

Polyvinyylikloridi Natriumkloridi 0,9% > 0,1 mg/ml 2-8°C Suojattava valolta
7 Päivä
3655
Valmistajan antamat stabiiliustiedot

Polyvinyylikloridi Natriumkloridi 0,9% > 0,1 mg/ml 25°C Valo
96 tunti
3655
Valmistajan antamat stabiiliustiedot

Polyvinyylikloridi Natriumkloridi 0,9% > 0,1 mg/ml 37°C Valo
48 tunti
3655
Valmistajan antamat stabiiliustiedot

Polyvinyylikloridi Natriumkloridi 0,9% 0,1 & 10 mg/ml 23°C Ei määritetty
31 Päivä
1411
Näytön laajuus B+

Polyvinyylikloridi Natriumkloridi 0,9% 0,1 & 10 mg/ml 32°C Ei määritetty
7 Päivä
1411
Näytön laajuus B+

Polyvinyylikloridi Natriumkloridi 0,9% 0,1 & 10 mg/ml 4°C Suojattava valolta
31 Päivä
1411
Näytön laajuus B+

Polyvinyylikloridi Glukoosi 5% > 0,1 mg/ml 2-8°C Suojattava valolta
7 Päivä
3655
Valmistajan antamat stabiiliustiedot

Polyvinyylikloridi Glukoosi 5% > 0,1 mg/ml 25°C Valo
96 tunti
3655
Valmistajan antamat stabiiliustiedot

Polyvinyylikloridi Glukoosi 5% > 0,1 mg/ml 37°C Valo
48 tunti
3655
Valmistajan antamat stabiiliustiedot

Polyvinyylikloridi Glukoosi 5% 0,1 & 10 mg/ml 23°C Ei määritetty
31 Päivä
1411
Näytön laajuus B+

Polyvinyylikloridi Glukoosi 5% 0,1 & 10 mg/ml 32°C Ei määritetty
7 Päivä
1411
Näytön laajuus B+

Polyvinyylikloridi Glukoosi 5% 0,1 & 10 mg/ml 4°C Suojattava valolta
31 Päivä
1411
Näytön laajuus B+

Polyolefiini Natriumkloridi 0,9% > 0,1 mg/ml 2-8°C Suojattava valolta
7 Päivä
3655
Valmistajan antamat stabiiliustiedot

Polyolefiini Natriumkloridi 0,9% > 0,1 mg/ml 25°C Valo
96 tunti
3655
Valmistajan antamat stabiiliustiedot

Polyolefiini Natriumkloridi 0,9% > 0,1 mg/ml 37°C Valo
48 tunti
3655
Valmistajan antamat stabiiliustiedot

Polyolefiini Glukoosi 5% > 0,1 mg/ml 2-8°C Suojattava valolta
7 Päivä
3655
Valmistajan antamat stabiiliustiedot

Polyolefiini Glukoosi 5% > 0,1 mg/ml 25°C Valo
96 tunti
3655
Valmistajan antamat stabiiliustiedot

Polyolefiini Glukoosi 5% > 0,1 mg/ml 37°C Valo
48 tunti
3655
Valmistajan antamat stabiiliustiedot

Ruisku  polypropeeni Injektionesteisiin käytettävä vesi, sisältää säilytysaineen 10 & 20 mg/ml 23°C Ei määritetty
31 Päivä
1411
Näytön laajuus B+

Ruisku  polypropeeni Injektionesteisiin käytettävä vesi, sisältää säilytysaineen 10 & 20 mg/ml 32°C Ei määritetty
7 Päivä
1411
Näytön laajuus B+

Ruisku  polypropeeni Injektionesteisiin käytettävä vesi, sisältää säilytysaineen 10 & 20 mg/ml 4°C Suojattava valolta
31 Päivä
1411
Näytön laajuus B+


  Mentions Légales