Poslední aktualizace :
27/01/2026
vėžio narkotikų   Etoposide phosphate  
Įpurškimas
Tirpalų stabilumas Mišinių stabilumas Stabilumą lemiantys veiksniai Suderinamumas Leidimo būdai Bibliografija pdf
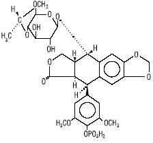
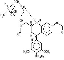
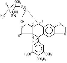
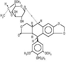
   Cheminė sandara  

Prekinis pavadinimas   Prekinis pavadinimas     

Trade names are indicative and excipients composition can be different depending on the country and manufacturers

Etopofos Austrija, Graikija, Švedija
Etopophos Belgija, Bulgarija, Didžioji Britanija, Israël, Jungtinės Amerikos Valstijos, Lenkija, Liuksemburgas, Naujojoje Zelandijoje, Olandija, Prancūzija, Šveicarija, Vokietija
Tirpalų stabilumas   Įpurškimas   Tirpalų stabilumas : Etoposide phosphate     
Pakuotė Tirpiklis Koncentracija Temperatūra Laikymas Stabilumo trukmė Nuorodos
Stiklas Vanduo injekcijoms 10 & 20 mg/ml 2-8°C Apsaugotas nuo šviesos
7 Diena
3655
Gamintojo stabilumo duomenys

Stiklas Vanduo injekcijoms 10 & 20 mg/ml 25°C Šviesa
96 Valanda
3655
Gamintojo stabilumo duomenys

Stiklas Vanduo injekcijoms 10 & 20 mg/ml 37°C Šviesa
48 Valanda
3655
Gamintojo stabilumo duomenys

Stiklas Natrio chloridas 0,9% > 0,1 mg/ml 2-8°C Apsaugotas nuo šviesos
7 Diena
3655
Gamintojo stabilumo duomenys

Stiklas Natrio chloridas 0,9% > 0,1 mg/ml 25°C Šviesa
96 Valanda
3655
Gamintojo stabilumo duomenys

Stiklas Natrio chloridas 0,9% > 0,1 mg/ml 37°C Šviesa
48 Valanda
3655
Gamintojo stabilumo duomenys

Stiklas Natrio chloridas 0,9% 10 & 20 mg/ml 2-8°C Apsaugotas nuo šviesos
7 Diena
3655
Gamintojo stabilumo duomenys

Stiklas Natrio chloridas 0,9% 10 & 20 mg/ml 25°C Šviesa
96 Valanda
3655
Gamintojo stabilumo duomenys

Stiklas Natrio chloridas 0,9% 10 & 20 mg/ml 37°C Šviesa
48 Valanda
3655
Gamintojo stabilumo duomenys

Stiklas Gliukozė 5% > 0,1 mg/ml 2-8°C Apsaugotas nuo šviesos
7 Diena
3655
Gamintojo stabilumo duomenys

Stiklas Gliukozė 5% > 0,1 mg/ml 25°C Šviesa
96 Valanda
3655
Gamintojo stabilumo duomenys

Stiklas Gliukozė 5% > 0,1 mg/ml 37°C Šviesa
48 Valanda
3655
Gamintojo stabilumo duomenys

Stiklas Gliukozė 5% 10 & 20 mg/ml 2-8°C Apsaugotas nuo šviesos
7 Diena
3655
Gamintojo stabilumo duomenys

Stiklas Gliukozė 5% 10 & 20 mg/ml 25°C Šviesa
96 Valanda
3655
Gamintojo stabilumo duomenys

Stiklas Gliukozė 5% 10 & 20 mg/ml 37°C Šviesa
48 Valanda
3655
Gamintojo stabilumo duomenys

Polivinilchloridas Natrio chloridas 0,9% > 0,1 mg/ml 2-8°C Apsaugotas nuo šviesos
7 Diena
3655
Gamintojo stabilumo duomenys

Polivinilchloridas Natrio chloridas 0,9% > 0,1 mg/ml 25°C Šviesa
96 Valanda
3655
Gamintojo stabilumo duomenys

Polivinilchloridas Natrio chloridas 0,9% > 0,1 mg/ml 37°C Šviesa
48 Valanda
3655
Gamintojo stabilumo duomenys

Polivinilchloridas Natrio chloridas 0,9% 0,1 & 10 mg/ml 23°C Nenurodyta
31 Diena
1411
Bandymo lygis B+

Polivinilchloridas Natrio chloridas 0,9% 0,1 & 10 mg/ml 32°C Nenurodyta
7 Diena
1411
Bandymo lygis B+

Polivinilchloridas Natrio chloridas 0,9% 0,1 & 10 mg/ml 4°C Apsaugotas nuo šviesos
31 Diena
1411
Bandymo lygis B+

Polivinilchloridas Gliukozė 5% > 0,1 mg/ml 2-8°C Apsaugotas nuo šviesos
7 Diena
3655
Gamintojo stabilumo duomenys

Polivinilchloridas Gliukozė 5% > 0,1 mg/ml 25°C Šviesa
96 Valanda
3655
Gamintojo stabilumo duomenys

Polivinilchloridas Gliukozė 5% > 0,1 mg/ml 37°C Šviesa
48 Valanda
3655
Gamintojo stabilumo duomenys

Polivinilchloridas Gliukozė 5% 0,1 & 10 mg/ml 23°C Nenurodyta
31 Diena
1411
Bandymo lygis B+

Polivinilchloridas Gliukozė 5% 0,1 & 10 mg/ml 32°C Nenurodyta
7 Diena
1411
Bandymo lygis B+

Polivinilchloridas Gliukozė 5% 0,1 & 10 mg/ml 4°C Apsaugotas nuo šviesos
31 Diena
1411
Bandymo lygis B+

Poliolefinas Natrio chloridas 0,9% > 0,1 mg/ml 2-8°C Apsaugotas nuo šviesos
7 Diena
3655
Gamintojo stabilumo duomenys

Poliolefinas Natrio chloridas 0,9% > 0,1 mg/ml 25°C Šviesa
96 Valanda
3655
Gamintojo stabilumo duomenys

Poliolefinas Natrio chloridas 0,9% > 0,1 mg/ml 37°C Šviesa
48 Valanda
3655
Gamintojo stabilumo duomenys

Poliolefinas Gliukozė 5% > 0,1 mg/ml 2-8°C Apsaugotas nuo šviesos
7 Diena
3655
Gamintojo stabilumo duomenys

Poliolefinas Gliukozė 5% > 0,1 mg/ml 25°C Šviesa
96 Valanda
3655
Gamintojo stabilumo duomenys

Poliolefinas Gliukozė 5% > 0,1 mg/ml 37°C Šviesa
48 Valanda
3655
Gamintojo stabilumo duomenys

Švirkštas polipropileno Vanduo injekcijoms + antibakterinis 10 & 20 mg/ml 23°C Nenurodyta
31 Diena
1411
Bandymo lygis B+

Švirkštas polipropileno Vanduo injekcijoms + antibakterinis 10 & 20 mg/ml 32°C Nenurodyta
7 Diena
1411
Bandymo lygis B+

Švirkštas polipropileno Vanduo injekcijoms + antibakterinis 10 & 20 mg/ml 4°C Apsaugotas nuo šviesos
31 Diena
1411
Bandymo lygis B+


  Mentions Légales